TOP
|
特許
|
意匠
|
商標
特許ウォッチ
Twitter
他の特許を見る
10個以上の画像は省略されています。
公開番号
2025170066
公報種別
公開特許公報(A)
公開日
2025-11-14
出願番号
2025148373,2023567791
出願日
2025-09-08,2022-12-13
発明の名称
可撓性導波管
出願人
三井化学株式会社
代理人
個人
主分類
H01P
3/14 20060101AFI20251107BHJP(基本的電気素子)
要約
【課題】マイクロ波などの高い周波数帯における電気信号の伝送効率の低下を抑制しながら、可撓性が向上した可撓性導波管を提供する。
【解決手段】棒状の誘電体と、その誘電体の外表面を覆う導体と、を備える可撓性導波管であって、上記誘電体が以下(a)および(b)を満たす、可撓性導波管。(a)密度が1.50g/cm
3
以下(b)周波数10GHzの条件で測定した比誘電率が2.3以下、かつ、周波数10GHzの条件で測定した誘電損失が0.0013以下
【選択図】図1
特許請求の範囲
【請求項1】
棒状の誘電体と、その誘電体の外表面を覆う導体と、を備える可撓性導波管であって、
前記誘電体が以下(a)および(b)を満たす、可撓性導波管。
(a)密度が1.50g/cm
3
以下
(b)周波数10GHzの条件で測定した比誘電率が2.3以下、かつ、周波数10GHzの条件で測定した誘電損失が0.0013以下
発明の詳細な説明
【技術分野】
【0001】
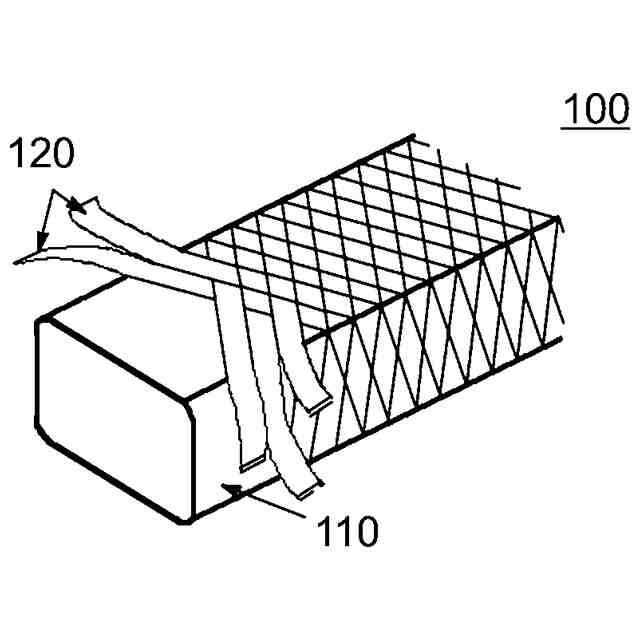
本発明は、可撓性導波管に関する。
続きを表示(約 3,400 文字)
【背景技術】
【0002】
マイクロ波やミリ波の電気信号を伝送する手段として、同軸ケーブルや金属の方形導波管が広く知られている。
従来、同軸ケーブルにおいては、ミリ波帯のような極めて高い周波数帯で用いる場合は、中心導体が極めて細くなってしまい伝送損失が低下しないことや、可撓性を持たせることが要求されている。
これらの問題を解決するための手段として、特許文献1には、可撓性の誘電体棒の表面に金属などの薄い導体を隙間なく張り付けてなる導波管が記載され、屈曲部があっても容易に対応することができ、材料費および加工コストを低減することができると記載されている。
【先行技術文献】
【特許文献】
【0003】
特開平8-195605号公報
【発明の概要】
【発明が解決しようとする課題】
【0004】
本発明は、マイクロ波などの高い周波数帯における電気信号の伝送効率の低下を抑制しながら、可撓性が向上した可撓性導波管を提供する。
【課題を解決するための手段】
【0005】
本発明によれば、以下に示す可撓性導波管が提供される。
【0006】
[1]
棒状の誘電体と、その誘電体の外表面を覆う導体と、を備える可撓性導波管であって、
上記誘電体が以下(a)および(b)を満たす、可撓性導波管。
(a)密度が1.50g/cm
3
以下
(b)周波数10GHzの条件で測定した比誘電率が2.3以下、かつ、周波数10GHzの条件で測定した誘電損失が0.0013以下
[2]
上記誘電体におけるフッ素原子の含有量が、上記誘電体全体を100質量%とした時に1質量%以下である、上記[1]に記載の可撓性導波管。
[3]
上記誘電体が4-メチル-1-ペンテン(共)重合体を含む、上記[1]または[2]に記載の可撓性導波管。
[4]
上記4-メチル-1-ペンテン(共)重合体が、以下(i)および(ii)を満たす、上記[3]に記載の可撓性導波管。
(i)4-メチル-1-ペンテンから導かれる構成単位(P)が15~100モル%、
(ii)炭素原子数2~20のα-オレフィン(4-メチル-1-ペンテンを除く)から選ばれる少なくとも1種から導かれる構成単位(Q)が0~85モル%である。
[5]
上記4-メチル-1-ペンテン(共)重合体が、以下(iii)~(v)を満たす、上記[3]または[4]に記載の可撓性導波管。
(iii)4-メチル-1-ペンテンから導かれる構成単位(P)が60~100モル%
(iv)炭素原子数2~20のα-オレフィン(4-メチル-1-ペンテンを除く)から選ばれる少なくとも1種から導かれる構成単位(Q)が0~40モル%である
(v)DSCで測定した融点(Tm)が200~250℃の範囲にある
[6]
上記4-メチル-1-ペンテン(共)重合体が4-メチル-1-ペンテン・α-オレフィン共重合体であって、
上記4-メチル-1-ペンテン・α-オレフィン共重合体が、以下(vi)~(viii)を満たす、上記[3]または[4]に記載の可撓性導波管。
(vi)4-メチル-1-ペンテンから導かれる構成単位(P)が15~99モル%
(vii)炭素原子数2~20のα-オレフィン(4-メチル-1-ペンテンを除く)から選ばれる少なくとも1種から導かれる構成単位(Q)が1~85モル%である
(viii)DSCで測定した融点(Tm)が200℃未満または融点が観測されない
[7]
上記誘電体が、
上記4-メチル-1-ペンテン(共)重合体、および
熱可塑性樹脂(ただし、4-メチル-1-ペンテン(共)重合体を除く。)またはエラストマーを含み、
当該誘電体中の上記熱可塑性樹脂またはエラストマーの含有量は1質量部以上50質量部以下(ただし、4-メチル-1-ペンテン(共)重合体と熱可塑性樹脂またはエラストマーとの合計量は100質量部である。)である、上記[3]~[6]のいずれか1項に記載の可撓性導波管。
[8]
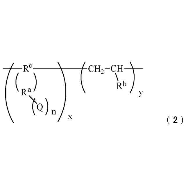
上記誘電体が下記一般式(2)で表される構造を含む環状オレフィン共重合体を含む、上記[1]~[7]のいずれか1項に記載の可撓性導波管。
TIFF
2025170066000002.tif
43
115
〔一般式(2)中、x,yは共重合比を示し、0/100≦y/x≦95/5を満たす実数である。x,yはモル基準である。nは置換基Qの置換数を示し、0≦n≦2の実数である。R
a
は、炭素原子数2~20の炭化水素基よりなる群から選ばれる2+n価の基である。R
b
は、水素原子、または炭素原子数1~10の炭化水素基よりなる群から選ばれる1価の基である。R
c
は、炭素原子数2~10の炭化水素基よりなる群から選ばれる4価の基である。Qは、COOR
d
(R
d
は、水素原子、または炭素原子数1~10の炭化水素基よりなる群から選ばれる1価の基である。)である。R
a
、R
b
、R
c
およびQは、それぞれ1種であってもよく、2種以上を任意の割合で有していてもよい。〕
[9]
上記誘電体が、
(A)下記一般式(I)で表される1種以上のオレフィン由来の繰り返し単位と、
(B)下記一般式(III)で表される環状非共役ジエン由来の繰り返し単位と、
(C)下記一般式(V)で表される1種以上の環状オレフィン由来の繰り返し単位と、
を含む架橋性基を有する環状オレフィン共重合体を含み、
上記環状オレフィン共重合体が、上記環状オレフィン共重合体中の繰り返し単位の合計モル数を100モル%とした場合に、環状非共役ジエン由来の繰り返し単位(B)の含有量が5モル%以上36モル%以下である、上記[1]~[8]のいずれか1項に記載の可撓性導波管。
TIFF
2025170066000003.tif
31
73
〔一般式(I)中、R
300
【発明の効果】
【0007】
本発明によれば、マイクロ波などの高い周波数帯における電気信号の伝送効率の低下を抑制し、可撓性が向上した可撓性導波管を提供することができる。
【図面の簡単な説明】
【0008】
本発明に係る実施形態の可撓性導波管の構造の一例を模式的に示した図である。
本発明に係る実施形態の可撓性導波管の構造の一例を模式的に示した図である。
【発明を実施するための形態】
【0009】
以下、本発明の実施形態について、図面を用いて説明する。なお、すべての図面において、同様な構成要素には共通の符号を付し、適宜説明を省略する。また、図は概略図であり、実際の寸法比率とは一致していない。また、数値範囲の「A~B」は特に断りがなければ、A以上B以下を表す。また、本実施形態において、「(メタ)アクリル」とはアクリル、メタクリルまたはアクリルおよびメタクリルの両方を意味する。さらに、「環状オレフィン重合体」は、特に断りがなければ、共重合体および/または開環重合体を意味する。
【0010】
従来の導波管は、例えば、金属の管で構成されているため、可撓性を有さず、屈曲を必要とする箇所に用いる用途には適用できない場合があった。
本発明者らは、上記課題を解決すべく鋭意検討を重ねた。その結果、密度、比誘電率および誘電損失を高度に制御した誘電体を用いることによって、マイクロ波などの高い周波数帯においても電気信号の伝送効率の低下を抑制し、かつ可撓性が向上した可撓性導波管を得られることを見出し、本発明を完成させた。
(【0011】以降は省略されています)
この特許をJ-PlatPat(特許庁公式サイト)で参照する
関連特許
三井化学株式会社
ペレット
1か月前
三井化学株式会社
混練装置
1か月前
三井化学株式会社
手術用器具
1か月前
三井化学株式会社
温度制御装置
8日前
三井化学株式会社
充電コネクタ
1か月前
三井化学株式会社
空中結像システム
1か月前
三井化学株式会社
ドローン用ブレード
1か月前
三井化学株式会社
自動車内装材用積層体
1か月前
三井化学株式会社
バックドア及び移動体
1か月前
三井化学株式会社
樹脂組成物及び成形体
1か月前
三井化学株式会社
樹脂組成物及び成形体
1か月前
三井化学株式会社
サイドドアおよび移動体
1か月前
三井化学株式会社
サイドドアおよび移動体
1か月前
三井化学株式会社
樹脂組成物および接着剤
1か月前
三井化学株式会社
重合体組成物および成形体
1か月前
三井化学株式会社
樹脂組成物およびその用途
1か月前
三井化学株式会社
繊維および繊維の製造方法
1か月前
三井化学株式会社
光学材料及びその製造方法
1か月前
三井化学株式会社
アンダーカバー及び移動体
1か月前
三井化学株式会社
絶縁電線、コイル及びモータ
1か月前
三井化学株式会社
エチレン共重合体の製造方法
1か月前
三井化学株式会社
熱可塑性エラストマー組成物
1か月前
三井化学株式会社
極性重合体組成物および成形体
1か月前
三井化学株式会社
粘着付与剤および粘着性組成物
1か月前
三井化学株式会社
多孔質膜及び多孔質膜の製造方法
1か月前
三井化学株式会社
繊維強化樹脂組成物および成形体
1か月前
三井化学株式会社
非水電解液及び非水電解液二次電池
1か月前
三井化学株式会社
積層体、包装材、蓋材およびラベル
1か月前
三井化学株式会社
エラストマー組成物およびその用途
10日前
三井化学株式会社
シートフレーム、シート、及び移動体
1か月前
三井化学株式会社
固体組成物及び固体組成物の製造方法
1か月前
三井化学株式会社
延伸成形体および延伸成形体の製造方法
1か月前
三井化学株式会社
オレフィン系重合体組成物および成形体
1か月前
三井化学株式会社
ゴム組成物、架橋体、成形体、放熱シート
1か月前
三井化学株式会社
環状オレフィン系共重合体および光学部品
1か月前
三井化学株式会社
延伸フィルムおよび延伸フィルムの製造方法
1か月前
続きを見る
他の特許を見る