TOP
|
特許
|
意匠
|
商標
特許ウォッチ
Twitter
他の特許を見る
10個以上の画像は省略されています。
公開番号
2025170030
公報種別
公開特許公報(A)
公開日
2025-11-14
出願番号
2025141942,2024120638
出願日
2025-08-28,2018-05-30
発明の名称
復号装置、復号方法、符号化装置、符号化方法、ビットストリーム生成装置及び送信方法
出願人
パナソニック インテレクチュアル プロパティ コーポレーション オブ アメリカ
,
Panasonic Intellectual Property Corporation of America
代理人
個人
,
個人
,
個人
主分類
H04N
19/12 20140101AFI20251107BHJP(電気通信技術)
要約
【課題】圧縮効率の低下を抑制しつつ処理負荷の軽減を実現できる復号装置を提供する。
【解決手段】復号装置200は、復号対象ブロックにイントラ予測を用いる場合、基底選択モードが復号対象ブロックに用いられるか否か、及び、復号対象ブロックの水平サイズ及び垂直サイズがそれぞれ所定条件を満たすか否かを判定し、基底選択モードが用いられ、かつ、所定条件が満たされる場合は、(i)イントラ予測モードが所定モードでない場合に、復号対象ブロックの逆量子化された係数に、第2の逆変換基底を用いて第2の逆変換を行い、さらに第1の所定逆変換基底を用いて第1の逆変換を行い、(ii)イントラ予測モードが所定モードである場合に、第2の逆変換をスキップし、復号対象ブロックの逆量子化された係数に、第1の所定逆変換基底を用いて第1の逆変換を行う。
【選択図】図18
特許請求の範囲
【請求項1】
復号装置であって、
プロセッサ及びメモリを備え、前記プロセッサは前記メモリを用いて、
ピクチャに含まれる復号対象ブロックにイントラ予測を用いる場合、複数の第1の逆変換基底の候補の中から第1の逆変換基底を選択可能な基底選択モードが前記復号対象ブロックに用いられるか否か、及び、前記復号対象ブロックの水平サイズ及び垂直サイズがそれぞれ所定条件を満たすか否かを判定し、
前記復号対象ブロックに前記基底選択モードが用いられ、かつ、前記復号対象ブロックのサイズが前記所定条件を満たす場合は、
(i)前記復号対象ブロックのイントラ予測モードが所定モードでない場合に、前記復号対象ブロックの逆量子化された係数に、第2の逆変換基底を用いて第2の逆変換を行い、さらに第1の所定逆変換基底を用いて第1の逆変換を行い、
(ii)前記復号対象ブロックのイントラ予測モードが前記所定モードである場合に、前記第2の逆変換をスキップし、前記復号対象ブロックの逆量子化された係数に、前記第1の所定逆変換基底を用いて第1の逆変換を行う、
復号装置。
続きを表示(約 2,600 文字)
【請求項2】
復号方法であって、
ピクチャに含まれる復号対象ブロックにイントラ予測を用いる場合、複数の第1の逆変換基底の候補の中から第1の逆変換基底を選択可能な基底選択モードが前記復号対象ブロックに用いられるか否か、及び、前記復号対象ブロックの水平サイズ及び垂直サイズがそれぞれ所定条件を満たすか否かを判定し、
前記復号対象ブロックに前記基底選択モードが用いられ、かつ、前記復号対象ブロックのサイズが前記所定条件を満たす場合は、
(i)前記復号対象ブロックのイントラ予測モードが所定モードでない場合に、前記復号対象ブロックの逆量子化された係数に、第2の逆変換基底を用いて第2の逆変換を行い、さらに第1の所定逆変換基底を用いて第1の逆変換を行い、
(ii)前記復号対象ブロックのイントラ予測モードが前記所定モードである場合に、前記第2の逆変換をスキップし、前記復号対象ブロックの逆量子化された係数に、前記第1の所定逆変換基底を用いて第1の逆変換を行う、
復号方法。
【請求項3】
符号化装置であって、
プロセッサ及びメモリを備え、前記プロセッサは前記メモリを用いて、
ピクチャに含まれる符号化対象ブロックにイントラ予測を用いる場合、複数の第1の変換基底の候補の中から第1の変換基底を選択可能な基底選択モードが前記符号化対象ブロックに用いられるか否か、及び、前記符号化対象ブロックの水平サイズ及び垂直サイズがそれぞれ所定条件を満たすか否かを判定し、
前記符号化対象ブロックに前記基底選択モードが用いられ、かつ、前記符号化対象ブロックのサイズが前記所定条件を満たす場合は、
(i)前記符号化対象ブロックの残差信号に、第1の所定変換基底を用いて第1の変換を行うことにより第1の変換係数を生成し、
(ii-1)前記符号化対象ブロックのイントラ予測モードが所定モードでない場合は、前記第1の変換係数に、第2の変換基底を用いて第2の変換を行うことにより第2の変換係数を生成し、前記第2の変換係数を量子化し、
(ii-2)前記符号化対象ブロックのイントラ予測モードが所定モードである場合は、前記第1の変換係数を量子化する、
符号化装置。
【請求項4】
符号化方法であって、
ピクチャに含まれる符号化対象ブロックにイントラ予測を用いる場合、複数の第1の変換基底の候補の中から第1の変換基底を選択可能な基底選択モードが前記符号化対象ブロックに用いられるか否か、及び、前記符号化対象ブロックの水平サイズ及び垂直サイズがそれぞれ所定条件を満たすか否かを判定し、
前記符号化対象ブロックに前記基底選択モードが用いられ、かつ、前記符号化対象ブロックのサイズが前記所定条件を満たす場合は、
(i)前記符号化対象ブロックの残差信号に、第1の所定変換基底を用いて第1の変換を行うことにより第1の変換係数を生成し、
(ii-1)前記符号化対象ブロックのイントラ予測モードが所定モードでない場合は、前記第1の変換係数に、第2の変換基底を用いて第2の変換を行うことにより第2の変換係数を生成し、前記第2の変換係数を量子化し、
(ii-2)前記符号化対象ブロックのイントラ予測モードが所定モードである場合は、前記第1の変換係数を量子化する、
符号化方法。
【請求項5】
ビットストリーム生成装置であって、
プロセッサ及びメモリを備え、前記プロセッサは前記メモリを用いて、
ピクチャに含まれる符号化対象ブロックにイントラ予測を用いる場合、複数の第1の変換基底の候補の中から第1の変換基底を選択可能な基底選択モードが前記符号化対象ブロックに用いられるか否か、及び、前記符号化対象ブロックの水平サイズ及び垂直サイズがそれぞれ所定条件を満たすか否かを判定し、
前記符号化対象ブロックに前記基底選択モードが用いられ、かつ、前記符号化対象ブロックのサイズが前記所定条件を満たす場合は、
(i)前記符号化対象ブロックの残差信号に、第1の所定変換基底を用いて第1の変換を行うことにより第1の変換係数を生成し、
(ii-1)前記符号化対象ブロックのイントラ予測モードが所定モードでない場合は、前記第1の変換係数に、第2の変換基底を用いて第2の変換を行うことにより第2の変換係数を生成し、前記第2の変換係数を量子化して量子化係数を生成し、
(ii-2)前記符号化対象ブロックのイントラ予測モードが所定モードである場合は、前記第1の変換係数を量子化して量子化係数を生成し、
(iii)前記量子化係数を符号化してビットストリームを生成する、
ビットストリーム生成装置。
【請求項6】
ビットストリームの送信方法であって、
ピクチャに含まれる符号化対象ブロックにイントラ予測を用いる場合、複数の第1の変換基底の候補の中から第1の変換基底を選択可能な基底選択モードが前記符号化対象ブロックに用いられるか否か、及び、前記符号化対象ブロックの水平サイズ及び垂直サイズがそれぞれ所定条件を満たすか否かを判定し、
前記符号化対象ブロックに前記基底選択モードが用いられ、かつ、前記符号化対象ブロックのサイズが前記所定条件を満たす場合は、
(i)前記符号化対象ブロックの残差信号に、第1の所定変換基底を用いて第1の変換を行うことにより第1の変換係数を生成し、
(ii-1)前記符号化対象ブロックのイントラ予測モードが所定モードでない場合は、前記第1の変換係数に、第2の変換基底を用いて第2の変換を行うことにより第2の変換係数を生成し、前記第2の変換係数を量子化して量子化係数を生成し、
(ii-2)前記符号化対象ブロックのイントラ予測モードが所定モードである場合は、前記第1の変換係数を量子化して量子化係数を生成し、
(iii)前記量子化係数を符号化してビットストリームを生成し、
(iv)生成した前記ビットストリームを送信する、
送信方法。
発明の詳細な説明
【技術分野】
【0001】
本開示は、ブロック単位での画像/映像の符号化及び復号に関する。
続きを表示(約 2,600 文字)
【背景技術】
【0002】
HEVC(High-Efficiency Video Coding)と称される映像符号化標準規格が、JCT-VC(Joint Collaborative Team on Video Coding)により標準化されている。
【先行技術文献】
【非特許文献】
【0003】
H.265(ISO/IEC 23008-2 HEVC(High Efficiency Video Coding))
【発明の概要】
【発明が解決しようとする課題】
【0004】
このような符号化及び復号技術では、圧縮効率の低下を抑えつつ処理負荷を軽減することが求められている。
【0005】
そこで、本開示は、圧縮効率の低下を抑制しつつ処理負荷の軽減を実現できる符号化装置、復号装置、符号化方法又は復号方法を提供する。
【課題を解決するための手段】
【0006】
本開示の一態様に係る復号装置は、プロセッサ及びメモリを備え、前記プロセッサは前記メモリを用いて、ピクチャに含まれる復号対象ブロックにイントラ予測を用いる場合、複数の第1の逆変換基底の候補の中から第1の逆変換基底を選択可能な基底選択モードが前記復号対象ブロックに用いられるか否か、及び、前記復号対象ブロックの水平サイズ及び垂直サイズがそれぞれ所定条件を満たすか否かを判定し、前記復号対象ブロックに前記基底選択モードが用いられ、かつ、前記復号対象ブロックのサイズが前記所定条件を満たす場合は、(i)前記復号対象ブロックのイントラ予測モードが所定モードでない場合に、前記復号対象ブロックの逆量子化された係数に、第2の逆変換基底を用いて第2の逆変換を行い、さらに第1の所定逆変換基底を用いて第1の逆変換を行い、(ii)前記復号対象ブロックのイントラ予測モードが前記所定モードである場合に、前記第2の逆変換をスキップし、前記復号対象ブロックの逆量子化された係数に、前記第1の所定逆変換基底を用いて第1の逆変換を行う。
【0007】
なお、これらの全般的又は具体的な態様は、システム、方法、集積回路、コンピュータプログラム又はコンピュータ読み取り可能なCD-ROMなどの記録媒体で実現されてもよく、システム、方法、集積回路、コンピュータプログラム及び記録媒体の任意な組み合わせで実現されてもよい。
【発明の効果】
【0008】
本開示は、圧縮効率の低下を抑制しつつ処理負荷の軽減を実現できる符号化装置、復号装置、符号化方法又は復号方法を提供することができる。
【図面の簡単な説明】
【0009】
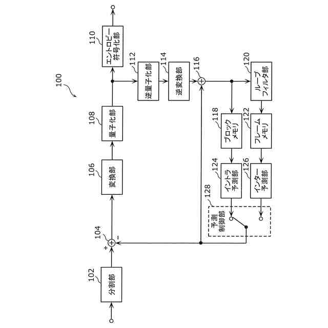
図1は、実施の形態1に係る符号化装置の機能構成を示すブロック図である。
図2は、実施の形態1におけるブロック分割の一例を示す図である。
図3は、各変換タイプに対応する変換基底関数を示す表である。
図4Aは、ALFで用いられるフィルタの形状の一例を示す図である。
図4Bは、ALFで用いられるフィルタの形状の他の一例を示す図である。
図4Cは、ALFで用いられるフィルタの形状の他の一例を示す図である。
図5Aは、イントラ予測における67個のイントラ予測モードを示す図である。
図5Bは、OBMC処理による予測画像補正処理の概要を説明するためのフローチャートである。
図5Cは、OBMC処理による予測画像補正処理の概要を説明するための概念図である。
図5Dは、FRUCの一例を示す図である。
図6は、動き軌道に沿う2つのブロック間でのパターンマッチング(バイラテラルマッチング)を説明するための図である。
図7は、カレントピクチャ内のテンプレートと参照ピクチャ内のブロックとの間でのパターンマッチング(テンプレートマッチング)を説明するための図である。
図8は、等速直線運動を仮定したモデルを説明するための図である。
図9Aは、複数の隣接ブロックの動きベクトルに基づくサブブロック単位の動きベクトルの導出を説明するための図である。
図9Bは、マージモードによる動きベクトル導出処理の概要を説明するための図である。
図9Cは、DMVR処理の概要を説明するための概念図である。
図9Dは、LIC処理による輝度補正処理を用いた予測画像生成方法の概要を説明するための図である。
図10は、実施の形態1に係る復号装置の機能構成を示すブロック図である。
図11は、実施の形態2に係る符号化装置における変換及び量子化処理を示すフローチャートである。
図12は、実施の形態2に係る復号装置における逆量子化及び逆変換処理を示すフローチャートである。
図13は、実施の形態3に係る符号化装置における変換及び量子化処理を示すフローチャートである。
図14は、実施の形態3に係る復号装置における逆量子化及び逆変換処理を示すフローチャートである。
図15は、実施の形態4に係る符号化装置における変換及び量子化処理を示すフローチャートである。
図16は、実施の形態4に係る符号化装置における符号化処理を示すフローチャートである。
図17は、実施の形態4に係る復号装置における復号処理を示すフローチャートである。
図18は、実施の形態4に係る復号装置における逆量子化及び逆変換処理を示すフローチャートである。
図19は、コンテンツ配信サービスを実現するコンテンツ供給システムの全体構成図である。
図20は、スケーラブル符号化時の符号化構造の一例を示す図である。
図21は、スケーラブル符号化時の符号化構造の一例を示す図である。
図22は、webページの表示画面例を示す図である。
図23は、webページの表示画面例を示す図である。
図24は、スマートフォンの一例を示す図である。
図25は、スマートフォンの構成例を示すブロック図である。
【発明を実施するための形態】
【0010】
以下、実施の形態について図面を参照しながら具体的に説明する。
(【0011】以降は省略されています)
この特許をJ-PlatPat(特許庁公式サイト)で参照する
関連特許
個人
イヤーピース
10日前
個人
イヤーマフ
24日前
個人
監視カメラシステム
1か月前
キーコム株式会社
光伝送線路
1か月前
個人
スイッチシステム
18日前
個人
スキャン式車載用撮像装置
1か月前
キヤノン電子株式会社
画像読取装置
1か月前
株式会社リコー
画像形成装置
26日前
ヤマハ株式会社
放音制御装置
18日前
キヤノン電子株式会社
画像読取装置
10日前
キヤノン電子株式会社
画像読取装置
18日前
個人
映像表示装置、及びARグラス
19日前
サクサ株式会社
無線システム
1か月前
キヤノン電子株式会社
シート搬送装置
10日前
キヤノン株式会社
画像処理装置
13日前
個人
発信機及び発信方法
1か月前
日本電気株式会社
海底分岐装置
1か月前
シャープ株式会社
端末装置
1か月前
キヤノン電子株式会社
画像処理システム
1か月前
シャープ株式会社
表示装置
10日前
株式会社NTTドコモ
端末
1か月前
株式会社NTTドコモ
端末
1か月前
シャープ株式会社
表示装置
10日前
株式会社NTTドコモ
端末
1か月前
株式会社NTTドコモ
端末
1か月前
株式会社NTTドコモ
端末
1か月前
技術開発合同会社
電子拡大鏡
19日前
17LIVE株式会社
サーバ及び方法
18日前
17LIVE株式会社
サーバ及び方法
10日前
アスザック株式会社
遠隔操作システム
19日前
トヨタ自動車株式会社
推定装置
10日前
キヤノン株式会社
電子機器
5日前
キヤノン株式会社
撮像装置
11日前
小林製薬株式会社
耳装着具
12日前
古野電気株式会社
送受波器
21日前
小林製薬株式会社
耳装着具
12日前
続きを見る
他の特許を見る