TOP
|
特許
|
意匠
|
商標
特許ウォッチ
Twitter
他の特許を見る
10個以上の画像は省略されています。
公開番号
2025168499
公報種別
公開特許公報(A)
公開日
2025-11-07
出願番号
2025146258,2024020494
出願日
2025-09-03,2018-05-05
発明の名称
チャネル間位相差パラメータ符号化方法および装置
出願人
華為技術有限公司
,
HUAWEI TECHNOLOGIES CO.,LTD.
代理人
個人
,
個人
主分類
G10L
19/008 20130101AFI20251030BHJP(楽器;音響)
要約
【課題】IPDパラメータ符号化方法および装置を提供する。
【解決手段】本出願は、マルチチャネル信号の現在のフレームのIPDパラメータ符号化スキームを決定するために使用される参照パラメータを取得するステップ、参照パラメータに基づいて現在のフレームのIPDパラメータ符号化スキームを決定するステップであって、現在のフレームの決定されたIPDパラメータ符号化スキームは、少なくとも2つの事前定義IPDパラメータ符号化スキームのうちの1つである、ステップ、および現在のフレームの決定されたIPDパラメータ符号化スキームに基づいて、現在のフレームのIPDパラメータを処理するステップを含むIPDパラメータ符号化方法を開示する。本出願で提供される技術的解決策は、マルチチャネル信号の符号化品質を改善できる。
【選択図】図5
特許請求の範囲
【請求項1】
マルチチャネル信号の現在のフレームのチャネル間位相差IPDパラメータ符号化スキームを決定するために使用される参照パラメータを取得するステップと、
前記参照パラメータに基づいて前記現在のフレームの前記IPDパラメータ符号化スキームを決定するステップであって、前記現在のフレームの前記決定されたIPDパラメータ符号化スキームは、少なくとも2つの事前定義IPDパラメータ符号化スキームのうちの1つである、ステップと、
前記現在のフレームの前記決定されたIPDパラメータ符号化スキームに基づいて、前記現在のフレームのIPDパラメータを処理するステップと
を含む、チャネル間位相差パラメータ符号化方法。
続きを表示(約 1,900 文字)
【請求項2】
前記参照パラメータは、前記現在のフレームの信号特性パラメータおよび前記現在のフレームの前のA個のフレームの信号特性パラメータのうちの少なくとも1つを含み、Aは1以上の整数であり、
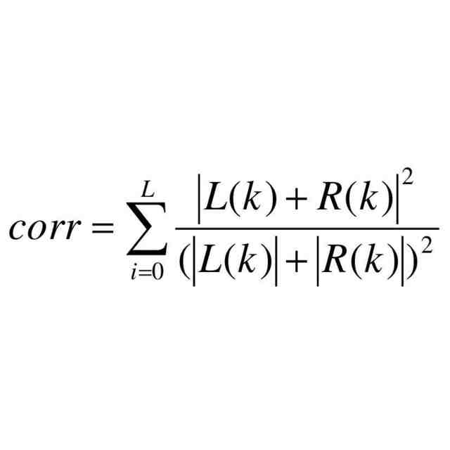
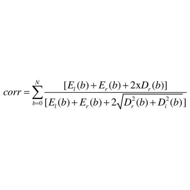
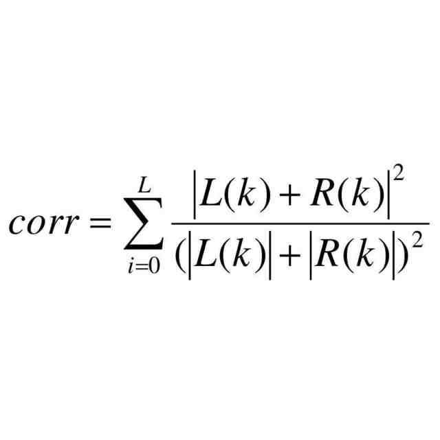
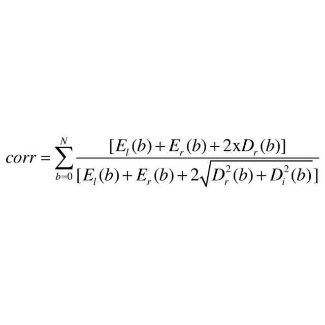
前記現在のフレームの前記信号特性パラメータは、前記現在のフレームの左チャネルと右チャネルとの間の相関を示すパラメータ、前記現在のフレームのサブバンドIPDパラメータの分散、前記現在のフレームの信号タイプ、および前記現在のフレームの前記チャネル間時間差ITDパラメータのうちの少なくとも1つを含み、
前記現在のフレームの前の前記A個のフレームの前記信号特性パラメータは、前記前のA個のフレームのそれぞれの左チャネルと右チャネルとの間の相関を示すパラメータ、前記前のA個のフレームのそれぞれのサブバンドIPDパラメータの分散、前記前のA個のフレームのそれぞれのITDパラメータ、前記前のA個のフレームのそれぞれのIPDパラメータ符号化スキーム、および前記前のA個のフレームのそれぞれの信号タイプのうちの少なくとも1つを含み、
前記信号タイプは、音声タイプまたは音楽タイプを含む、請求項1に記載の方法。
【請求項3】
前記参照パラメータは、前記現在のフレームの前記左チャネルと右チャネルとの間の前記相関を示す前記パラメータを含み、
前記現在のフレームの前記左チャネルと右チャネルとの間の前記相関を示す前記パラメータの値が第1の閾値以上である場合、前記現在のフレームの前記IPDパラメータ符号化スキームは、前記少なくとも2つのIPDパラメータ符号化スキームの第1の符号化スキームである、請求項2に記載の方法。
【請求項4】
前記第1の閾値は0.75である、請求項3に記載の方法。
【請求項5】
前記参照パラメータは、前記前のA個のフレームのそれぞれの前記IPDパラメータ符号化スキームと、前記前のA個のフレームのそれぞれの前記信号タイプとを含み、
前記前のA個のフレームのそれぞれの前記IPDパラメータ符号化スキームが前記少なくとも2つのIPDパラメータ符号化スキームの前記第1の符号化スキームであり、前記前のA個のフレームのそれぞれの前記信号タイプが音楽タイプである場合、前記現在のフレームの前記IPDパラメータ符号化スキームは前記第1の符号化スキームである、請求項2から4のいずれか一項に記載の方法。
【請求項6】
Aの値は1である、請求項5に記載の方法。
【請求項7】
前記第1の符号化スキームは、
グループチャネル間位相差Group IPDパラメータ符号化スキーム、
IPDパラメータの符号化のスキップ、または
IPDパラメータの値を0に設定する、のいずれか1つの方式を含む、請求項3から6のいずれか一項に記載の方法。
【請求項8】
前記現在のフレームの前記IPDパラメータ符号化スキームが前記第1の符号化スキームでない場合、前記現在のフレームの前記IPDパラメータ符号化スキームは第2の符号化スキームであり、
前記第2の符号化スキームは、サブバンドセットのIPDパラメータ符号化スキーム、またはサブバンドIPDパラメータ符号化スキームを含み、前記サブバンドIPDパラメータ符号化スキームは、前記現在のフレームのサブバンドの一部またはすべてのサブバンドIPDパラメータを符号化する、請求項3から7のいずれか一項に記載の方法。
【請求項9】
前記第2の符号化スキームは、前記サブバンドIPDパラメータ符号化スキームであり、
前記現在のフレームの前記決定されたIPDパラメータ符号化スキームに基づいて、前記現在のフレームのIPDパラメータを処理する前記ステップは、
前記現在のフレームの左チャネル周波数領域信号および右チャネル周波数領域信号のサブバンドのすべてまたは一部のIPDパラメータを計算するステップと、
前記サブバンドのすべてまたは一部のものであり、計算によって取得された前記IPDパラメータを符号化するステップとを含む、請求項8に記載の方法。
【請求項10】
前記方法は、
前記現在のフレームの前記決定されたIPDパラメータ符号化スキームに基づいて符号化を実行するステップをさらに含む、請求項1から9のいずれか一項に記載の方法。
(【請求項11】以降は省略されています)
発明の詳細な説明
【技術分野】
【0001】
本出願は、2017年6月30日に中国特許庁に提出され、「チャネル間位相差パラメータ符号化方法および装置」と題された中国特許出願第201710524352.0号の優先権を主張し、その特許出願全体は参照として本明細書に組み込まれる。
続きを表示(約 2,200 文字)
【0002】
本発明は、通信技術の分野に関し、特に、チャネル間位相差パラメータ符号化方法および装置に関する。
【背景技術】
【0003】
生活の質が向上するにつれて、高品質のオーディオに対する要件が常に高まっている。モノラルオーディオと比較して、ステレオオーディオは各音源の方向感覚と分布感覚を示し、オーディオ情報の明瞭さと分かりやすさを向上させ、オーディオ再生の存在感を高めることができる。したがって、ステレオオーディオは人々に非常に好まれている。
【0004】
パラメトリックステレオ(Parametric Stereo、PS)符号化テクノロジは、一般的なステレオ符号化テクノロジである。PS符号化技術では、空間知覚特性に基づいて、ステレオ信号(言い換えれば、マルチチャネル信号)に対して符号化および復号化処理が実行される。具体的には、マルチチャネル信号の符号化および復号化は、モノラルオーディオ信号の符号化および復号化、および空間知覚パラメータの符号化および復号化に変換される。PS符号化の空間知覚パラメータは、チャネル間相関(Inter-channel Coherence、IC)、チャネル間レベル差(Inter-channel Level Difference、ILD)、チャネル間時間差(Inter-channel Time Difference、ITD)、チャネル間位相差(Inter-channel Phase Difference、IPD)などを含む。ITDパラメータおよびIPDパラメータは、音源の水平方向を示す空間知覚パラメータである。ILDパラメータ、ITDパラメータ、およびIPDパラメータは、音源の位置に対する人間の耳の知覚を決定し、音場の位置を効果的に決定でき、ステレオ信号の復元に重要である。したがって、IPDパラメータなどのパラメータの決定は、ステレオ信号の復元にとって重要である。
【0005】
従来技術1では、ステレオ信号の各フレームのIPDパラメータを計算する際、具体的には、時間領域信号が周波数領域信号に変換され、周波数領域信号が複数のサブバンドに分割され、サブバンドのIPDパラメータが1つずつ計算され、次に、すべてのサブバンドのIPDパラメータが量子化されてステレオ信号の符号化に使用される。従来技術1におけるIPDパラメータの計算は、サブバンド上で1つずつ実行される必要があることが分かる。その結果、複数のリソースが占有され、符号化効率が低い。
【0006】
従来技術2では、ステレオ信号の各フレームのIPDパラメータを計算する際、具体的には、時間領域信号が周波数領域信号に変換され、周波数領域信号に基づいて1フレームのステレオ信号のIPDパラメータが計算される。フレームを含むステレオ信号のIPDパラメータは、グループチャネル間位相差(Group IPD)パラメータであり、次に、Group IPDパラメータは、量子化されてステレオ信号の符号化に使用される。従来技術では、1つのIPDパラメータ(すなわち、Group IPDパラメータ)のみが計算され、次に、1つのIPDパラメータのみが量子化できることが分かる。占有されるリソースは少なくなるが、符号化の位相情報の精度は低く、符号化の品質は低くなる。
【発明の概要】
【課題を解決するための手段】
【0007】
本出願は、IPDパラメータ符号化方法および装置を提供して、IPDパラメータ符号化スキームの選択の多様性を高め、位相情報をより良く維持し、オーディオ符号化品質を改善する。
【0008】
本発明の第1の態様によれば、IPD符号化方法が提供され、方法は、
マルチチャネル信号の現在のフレームのIPDパラメータ符号化スキームを決定するために使用される参照パラメータを取得するステップと、
参照パラメータに基づいて現在のフレームのIPDパラメータ符号化スキームを決定するステップであって、現在のフレームの決定されたIPDパラメータ符号化スキームは、少なくとも2つの事前定義IPDパラメータ符号化スキームのうちの1つである、ステップと、
現在のフレームの決定されたIPDパラメータ符号化スキームに基づいて、現在のフレームのIPDパラメータを処理するステップとを含む。
【0009】
IPDパラメータが符号化されるとき、参照パラメータが取得され、現在のフレームに対応する現在のフレームのIPDパラメータ符号化スキームが参照パラメータに基づいて決定され、決定されたIPDパラメータ符号化スキームを使用することにより、現在のフレームのIPDパラメータが処理され、その結果、マルチチャネル信号の符号化品質を改善するために、現在のフレームのIPDパラメータを適応的に処理できるだけでなく、現在のフレームのIPDパラメータの処理も現在のフレームと一致することが分かる。
【0010】
第1の態様に関して、第1の態様の第1の実施では、参照パラメータは、現在のフレームの信号特性パラメータおよび現在のフレームの前のA個のフレームの信号特性パラメータのうちの少なくとも1つを含み、Aは1以上の整数である。
(【0011】以降は省略されています)
この特許をJ-PlatPat(特許庁公式サイト)で参照する
関連特許
華為技術有限公司
遅延推定方法および遅延推定装置
5日前
華為技術有限公司
エンコーダ、デコーダ、および、対応する方法
12日前
華為技術有限公司
協調マルチアクセスポイントAP伝送のための方法および関連装置
3日前
個人
ギター
3日前
個人
遮音材
1か月前
個人
管楽器用リガチャ-
1か月前
個人
歌唱補助器具
1か月前
個人
音声出力装置
1か月前
横浜ゴム株式会社
音響材
24日前
三井化学株式会社
防音構造体
4日前
三井化学株式会社
防音構造体
4日前
大和ハウス工業株式会社
音低減設備
1か月前
DIC株式会社
吸音材及び吸音部品
1か月前
個人
管楽器用音質改善留め具
18日前
NOK株式会社
吸音構造体
1か月前
株式会社SinasSP
自動騒音低減装置
1か月前
横浜ゴム株式会社
多層空洞音響材
1か月前
矢崎総業株式会社
車両用対話システム
1か月前
株式会社デンソー
音低減装置
3日前
トヨタ自動車株式会社
判定装置
1か月前
株式会社第一興商
カラオケ装置
1か月前
三井化学株式会社
防音構造体および自動車の防音構造
4日前
ヤマハ株式会社
鍵盤装置
11日前
株式会社JVCケンウッド
収音装置、収音方法、およびプログラム
1か月前
大建工業株式会社
吸音体及び音環境調整構造
1か月前
有限会社ツバサ
エレキギターおよび保護フィルム付きの樹脂プレート
1か月前
ヤマハ株式会社
音処理装置及び音処理方法
18日前
有限会社 宮脇工房
モーター挙動音発生装置
1か月前
株式会社デンソー
制御装置、制御方法、及び制御プログラム
24日前
株式会社SUBARU
乗物用遮音構造体、及び車両
1か月前
株式会社第一興商
カラオケ装置、カラオケシステム
10日前
株式会社第一興商
カラオケ装置、カラオケシステム
26日前
株式会社第一興商
カラオケ装置、カラオケシステム
3日前
株式会社コルグ
楽音信号変換装置、楽音信号変換方法、プログラム
1か月前
固昌通訊股ふん有限公司
音響調整装置
1か月前
株式会社東芝
発話言語理解のためのシステムおよび方法
1か月前
続きを見る
他の特許を見る