TOP
|
特許
|
意匠
|
商標
特許ウォッチ
Twitter
他の特許を見る
10個以上の画像は省略されています。
公開番号
2025167442
公報種別
公開特許公報(A)
公開日
2025-11-07
出願番号
2024072029
出願日
2024-04-26
発明の名称
硬化性組成物
出願人
三菱瓦斯化学株式会社
代理人
個人
,
個人
,
個人
主分類
C08L
81/00 20060101AFI20251030BHJP(有機高分子化合物;その製造または化学的加工;それに基づく組成物)
要約
【課題】光学材料又は回折光学素子に適用し得る新規な硬化性組成物が求められていた。
【解決手段】金属酸化物ナノ粒子(A)、一分子中に3以上のチオール基を有する多官能チオール化合物(B)、及び一分子中に3以上のアリル基を有する多官能アリル化合物(C)を含み、金属酸化物ナノ粒子(A)の含有量が、組成物の全量基準で、20~55質量%であり、多官能チオール化合物(B)の含有量が、組成物の全量基準で、15~30質量%であり、多官能アリル化合物(C)の含有量が、組成物の全量基準で、10~35質量%である、硬化性組成物。
【選択図】なし
特許請求の範囲
【請求項1】
金属酸化物ナノ粒子(A)、一分子中に3以上のチオール基を有する多官能チオール化合物(B)、及び一分子中に3以上のアリル基を有する多官能アリル化合物(C)を含み、
金属酸化物ナノ粒子(A)の含有量が、組成物の全量基準で、20~55質量%であり、
多官能チオール化合物(B)の含有量が、組成物の全量基準で、15~40質量%であり、
多官能アリル化合物(C)の含有量が、組成物の全量基準で、5~40質量%である、硬化性組成物。
続きを表示(約 1,400 文字)
【請求項2】
一分子中に2以上の(メタ)アクリレート基を有する多官能(メタ)アクリレート(D)を更に含む、請求項1に記載の硬化性組成物。
【請求項3】
多官能(メタ)アクリレート(D)の含有量が、組成物の全量基準で、1~30質量%である、請求項2に記載の硬化性組成物。
【請求項4】
多官能(メタ)アクリレート(D)が、下記式(5)で表される多官能(メタ)アクリレート(d1)を含む、請求項2又は3に記載の硬化性組成物。
TIFF
2025167442000020.tif
36
105
(式(4)中、Xは、それぞれ独立に、水素原子、アクリレート基又はメタアクリレート基を表し(但し、分子内のXのうち、少なくとも2つがアクリレート基又はメタアクリレート基である。)、pは、0~2の整数を表す)
【請求項5】
多官能チオール化合物(B)中のチオール基(SH)と、多官能アリル化合物(C)及び多官能(メタ)アクリレート(D)中の末端ビニル基(Vi)とのモル比(Vi/SH)が、1.0以上である、請求項2~4のいずれか一項に記載の硬化性組成物。
【請求項6】
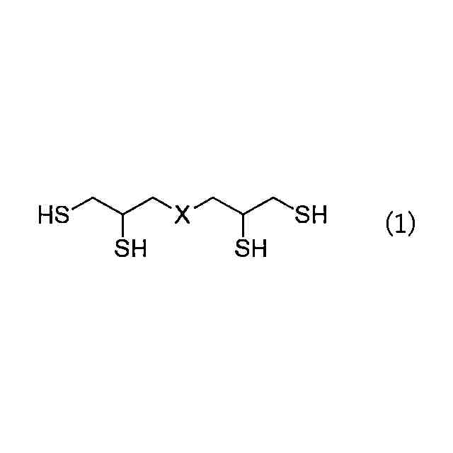
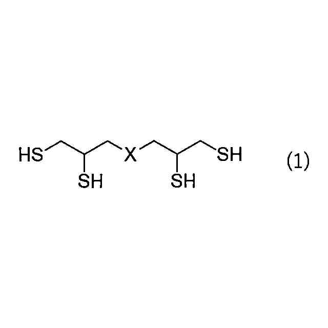
多官能チオール化合物(B)が、下記式(1)で表される多官能チオール化合物(b1)及び下記式(2)で表される多官能チオール化合物(b2)からなる群から選択される1種以上の化合物を含む、請求項1~5のいずれか一項に記載の硬化性組成物。
TIFF
2025167442000021.tif
20
83
(式(1)中、Xは、スルフィド基又はジスルフィド基を表す。)
TIFF
2025167442000022.tif
35
71
(式(2)中、X及びZは、それぞれ独立に、水素原子、メルカプト基又はメチルチオール基を表し(但し、分子内のX及びZのうち、少なくとも1つがメルカプト基又はメチルチオール基である。)、pは2~4の整数を表す。)
【請求項7】
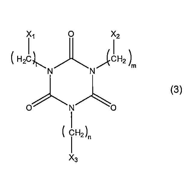
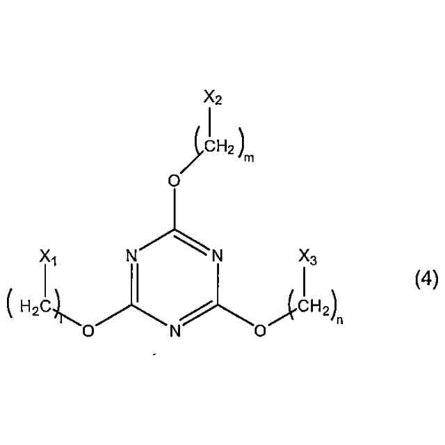
多官能アリル化合物(C)が、下記式(3)で表される多官能アリル化合物(c1)及び下記式(4)で表される多官能アリル化合物(c2)からなる群から選択される1種以上の化合物を含む、請求項1~6のいずれか一項に記載の硬化性組成物。
TIFF
2025167442000023.tif
63
80
(式(3)中、X
1
~X
3
はアリル基を表し、l、m及びnは、それぞれ独立に、0~10の整数を表す。)
TIFF
2025167442000024.tif
57
93
(式(4)中、X
1
~X
3
はアリル基を表し、l、m及びnは、それぞれ独立に、0~10の整数を表す。)
【請求項8】
重合開始剤(E)を更に含む、請求項1~7のいずれか一項に記載の硬化性組成物。
【請求項9】
23℃における粘度が、500~15000mPa・sである、請求項1~8のいずれか一項に記載の硬化性組成物。
【請求項10】
請求項1~9のいずれか一項に記載の硬化性組成物を硬化させてなる、硬化物。
(【請求項11】以降は省略されています)
発明の詳細な説明
【技術分野】
【0001】
本発明は、硬化性組成物、当該硬化性組成物を硬化させてなる硬化物、当該硬化物を含む光学材料又は回折光学素子、及び光学材料又は回折光学素子の製造方法に関する。
続きを表示(約 3,500 文字)
【背景技術】
【0002】
無機ガラスは、透光性に優れているなどの諸物性に優れており、光学部材として広い分野で用いられている。しかしながら、重くて破損しやすいこと、加工性、生産性が悪い等の短所があり、無機ガラスに代わる素材として透明光学用樹脂の開発が盛んに行われている。
【0003】
そのような透明光学用樹脂として、エポキシ樹脂、不飽和ポリエステル樹脂、シリコーン樹脂等が挙げられる。可視光領域波長における良好な透明性を有し、しかも無機ガラス材料に比べて成形性、量産性、あるいは可撓性、強靱性、耐衝撃性等の優れた特徴を有する汎用透明樹脂材料が望まれている。
【0004】
このような透明樹脂材料に高い屈折率を付与することによって、薄肉軽量な光学レンズ(メガネレンズ、フレネルレンズ、CD、DVDなどの情報記録機器におけるピックアップレンズ、デジタルカメラなどの撮影機器用レンズ等)、光学プリズム、光導波路、光ファイバー、薄膜成形物、光学用接着剤、光半導体用封止材料、回折格子、導光板、液晶基板、光反射板、反射防止材等の高屈折光学部材の材料等への展開が期待されている。
【0005】
透明樹脂材料の高屈折率化には、硫黄を含有するモノマー又は多環芳香族アクリレートが有用である。硫黄を含有するモノマーとして、チオール化合物とアリル化合物を重合しチオール-エン反応による結合を形成して得られる樹脂や、エピスルフィド、エピチオスルフィド化合物を重合硬化してなる樹脂(nd=1.7程度)などがある(例えば、特許文献1)。チオール-エン反応による結合を形成して得られる樹脂は、ガラス転移温度が低いため、コーティング材や接着剤の用途に限られる。また、市販されているエピスルフィド化合物は粘度が100cps以下であり、キャスト成型時の液量調整時に液ダレを引き起こし、精密定量が困難である。
【0006】
硬化性樹脂材料のモノマーの変更以外の解決手法として、樹脂中に金属酸化物微粒子を含有させる方法が挙げられる(例えば、特許文献2、3)。この方法では、金属酸化物微粒子の凝集を引き起こし、ヘイズが高くなる傾向にあり、薄膜への適用など用途が限定されている。樹脂との相溶性を向上させるため、金属酸化物微粒子表面を修飾する分散剤が知られている。
【先行技術文献】
【特許文献】
【0007】
特開2000-102933号公報
国際公開第2011/162293号
特開2015-155551号公報
【発明の概要】
【発明が解決しようとする課題】
【0008】
このような背景に鑑み、光学材料又は回折光学素子に適用し得る新規な硬化性組成物が求められていた。
【課題を解決するための手段】
【0009】
本発明者らは、金属酸化物ナノ粒子(A)、一分子中に3以上のチオール基を有する多官能チオール化合物(B)、及び一分子中に3以上のアリル基を有する多官能アリル化合物(C)を特定の含有量で配合した硬化性組成物を用いることで、高い透明性、屈折率、及び/又はガラス転移温度を有する硬化物が得られること、かつ当該硬化性組成物が成型に適した粘度を有することを見出し、本発明を完成させるに至った。
すなわち、本発明は以下の態様を含む。
[1]
金属酸化物ナノ粒子(A)、一分子中に3以上のチオール基を有する多官能チオール化合物(B)、及び一分子中に3以上のアリル基を有する多官能アリル化合物(C)を含み、
金属酸化物ナノ粒子(A)の含有量が、組成物の全量基準で、20~55質量%であり、
多官能チオール化合物(B)の含有量が、組成物の全量基準で、15~40質量%であり、
多官能アリル化合物(C)の含有量が、組成物の全量基準で、5~40質量%である、硬化性組成物。
[2]
一分子中に2以上の(メタ)アクリレート基を有する多官能(メタ)アクリレート(D)を更に含む、[1]に記載の硬化性組成物。
[3]
多官能(メタ)アクリレート(D)の含有量が、組成物の全量基準で、1~30質量%である、[2]に記載の硬化性組成物。
[4]
多官能(メタ)アクリレート(D)が、下記式(5)で表される多官能(メタ)アクリレート(d1)を含む、[2]又は[3]に記載の硬化性組成物。
TIFF
2025167442000001.tif
39
113
(式(4)中、Xは、それぞれ独立に、水素原子、アクリレート基又はメタアクリレート基を表し(但し、分子内のXのうち、少なくとも2つがアクリレート基又はメタアクリレート基である。)、pは、0~2の整数を表す)
[5]
多官能チオール化合物(B)中のチオール基(SH)と、多官能アリル化合物(C)及び多官能(メタ)アクリレート(D)中の末端ビニル基(Vi)とのモル比(Vi/SH)が、1.0以上である、[2]~[4]のいずれか一項に記載の硬化性組成物。
[6]
多官能チオール化合物(B)が、下記式(1)で表される多官能チオール化合物(b1)及び下記式(2)で表される多官能チオール化合物(b2)からなる群から選択される1種以上の化合物を含む、[1]~[5]のいずれか一項に記載の硬化性組成物。
TIFF
2025167442000002.tif
19
78
(式(1)中、Xは、スルフィド基又はジスルフィド基を表す。)
TIFF
2025167442000003.tif
35
71
(式(2)中、X及びZは、それぞれ独立に、水素原子、メルカプト基又はメチルチオール基を表し(但し、分子内のX及びZのうち、少なくとも1つがメルカプト基又はメチルチオール基である。)、pは2~4の整数を表す。)
[7]
多官能アリル化合物(C)が、下記式(3)で表される多官能アリル化合物(c1)及び下記式(4)で表される多官能アリル化合物(c2)からなる群から選択される1種以上の化合物を含む、[1]~[6]のいずれか一項に記載の硬化性組成物。
TIFF
2025167442000004.tif
61
77
(式(3)中、X
1
~X
3
はアリル基を表し、l、m及びnは、それぞれ独立に、0~10の整数を表す。)
TIFF
2025167442000005.tif
56
92
(式(4)中、X
1
~X
3
はアリル基を表し、l、m及びnは、それぞれ独立に、0~10の整数を表す。)[8]
重合開始剤(E)を更に含む、[1]~[7]のいずれか一項に記載の硬化性組成物。
[9]
23℃における粘度が、500~15000mPa・sである、[1]~[8]のいずれか一項に記載の硬化性組成物。
[10]
[1]~[9]のいずれか一項に記載の硬化性組成物を硬化させてなる、硬化物。
[11]
波長589nmにおける屈折率が1.635以上である、[10]に記載の硬化物。
[12]
ガラス転移温度(Tg)が90℃以上である、[10]又は[11]に記載の硬化物。
[13]
[10]~[12]のいずれか一項に記載の硬化物を含む、光学材料。
[14]
[10]~[12]のいずれか一項に記載の硬化物を含む、回折光学素子。
[15
[1]~[9]のいずれか一項に記載の硬化性組成物を硬化させることを含む、光学材料又は回折光学素子の製造方法。
【発明の効果】
【0010】
本発明によれば、高い透明性、屈折率、及び/又はガラス転移温度を有する硬化物を作製し得る硬化性組成物が得られる。また、本発明によれば、成型に適した粘度を有する硬化性組成物が得られる。
【発明を実施するための形態】
(【0011】以降は省略されています)
この特許をJ-PlatPat(特許庁公式サイト)で参照する
関連特許
三菱瓦斯化学株式会社
硬化性組成物
3日前
三菱瓦斯化学株式会社
細胞老化抑制剤
1か月前
三菱瓦斯化学株式会社
リン酸化多糖水溶液の製造方法
5日前
三菱瓦斯化学株式会社
リン酸化多糖水溶液の製造方法
5日前
三菱瓦斯化学株式会社
切削加工補助材及び切削加工方法
1か月前
三菱瓦斯化学株式会社
イミダゾピロロキノリンアルカリ金属塩の製造方法
1か月前
三菱瓦斯化学株式会社
フォトレジスト除去用組成物およびフォトレジストの除去方法
5日前
三菱瓦斯化学株式会社
樹脂組成物、硬化物、プリプレグ、樹脂複合シート、プリント配線板、および、半導体装置
6日前
三菱瓦斯化学株式会社
多層体、多層体の製造方法、プリント配線板、半導体装置、および、プリント配線板の製造方法
1か月前
三菱瓦斯化学株式会社
医療機器洗浄用過酢酸組成物及びその製造方法
1か月前
三菱瓦斯化学株式会社
樹脂組成物、硬化物、プリプレグ、金属箔張積層板、樹脂シート、および、プリント配線板
3日前
三菱瓦斯化学株式会社
光学材料用の熱可塑性樹脂組成物、成形体、配合剤、熱可塑性樹脂組成物の製造方法及び透過率向上方法
1か月前
株式会社カネカ
断熱材
3日前
東ソー株式会社
ペレット
26日前
ユニチカ株式会社
透明シート
1か月前
株式会社カネカ
硬化性組成物
4か月前
ユニチカ株式会社
透明シート
2か月前
株式会社コバヤシ
成形体
1か月前
東レ株式会社
熱硬化性樹脂組成物
2か月前
東レ株式会社
ポリエステルフィルム
24日前
東レ株式会社
引抜成形品の製造方法
2か月前
東ソー株式会社
プラスチゾル組成物
3日前
丸住製紙株式会社
変性パルプ
1か月前
東ソー株式会社
ゴム用接着性改質剤
27日前
東レ株式会社
ポリエステルフィルム
1か月前
住友精化株式会社
吸水剤の製造方法
1か月前
東ソー株式会社
樹脂組成物および蓋材
2か月前
東ソー株式会社
樹脂組成物および蓋材
2か月前
横浜ゴム株式会社
重荷重タイヤ
1か月前
花王株式会社
樹脂組成物
4か月前
東レ株式会社
ポリオレフィン微多孔膜
3か月前
東ソー株式会社
エチレン系重合用触媒
6日前
東レ株式会社
ポリプロピレンフィルム
1か月前
株式会社スリーボンド
硬化性樹脂組成物
1か月前
アイカ工業株式会社
光硬化性樹脂組成物
1か月前
UBE株式会社
衝撃吸収材
1か月前
続きを見る
他の特許を見る