TOP
|
特許
|
意匠
|
商標
特許ウォッチ
Twitter
他の特許を見る
公開番号
2025166858
公報種別
公開特許公報(A)
公開日
2025-11-07
出願番号
2024071011
出願日
2024-04-25
発明の名称
ガス発生剤組成物
出願人
日本化薬株式会社
代理人
主分類
C06D
5/00 20060101AFI20251030BHJP(火薬;マッチ)
要約
【課題】
本発明は、ガス発生器が破裂しない比較的低温の段階で発火するガス発生剤組成物を提供することを目的とする。
【解決手段】
燃料成分と酸化剤成分とを含有するガス発生剤組成物であって、
前記燃料成分として、融点又は分解点が90℃以上250℃未満であるラクトン構造を有する化合物を含有する、ガス発生剤組成物。
【選択図】なし
特許請求の範囲
【請求項1】
燃料成分と酸化剤成分とを含有するガス発生剤組成物であって、
前記燃料成分として、融点又は分解点が90℃以上250℃未満であるラクトン構造を有する化合物を含有する、ガス発生剤組成物。
続きを表示(約 360 文字)
【請求項2】
前記燃料成分と前記酸化剤成分の総量中、前記燃料成分の含有量が10~80重量%、前記酸化剤成分の含有量が20~90重量%である請求項1に記載のガス発生剤組成物。
【請求項3】
前記ラクトン構造を有する化合物が、2-ピロン構造を有する化合物である請求項1に記載のガス発生剤組成物。
【請求項4】
前記酸化剤成分が硝酸塩、金属硝酸塩、過塩素酸塩、および塩素酸塩からなる群から選ばれる1種又は2種以上のものである請求項1に記載のガス発生剤組成物。
【請求項5】
前記燃料成分として、さらに硝酸グアニジンを含有する請求項1に記載のガス発生剤組成物。
【請求項6】
自動発火性を有する請求項1から5のいずれか一項に記載のガス発生剤組成物。
発明の詳細な説明
【技術分野】
【0001】
本発明は、ガス発生剤組成物に関するものであり、エアバッグ用途に好適に使用される。
続きを表示(約 1,600 文字)
【背景技術】
【0002】
自動車が衝突を検知すると、ガス発生器に電気信号が伝わり、ガス発生器内部のスクイブが作動して、その熱により燃焼したガス発生剤がガスを発生してエアバッグを膨らませる。
【先行技術文献】
【特許文献】
【0003】
特開2006-089347号公報
【発明の概要】
【発明が解決しようとする課題】
【0004】
たとえば、特許文献1では、ガス発生剤の耐熱性を向上させるために融点又は分解点が250℃以上のプラスチック系材料及びゴム系材料から選ばれる燃料と酸化剤からなるガス発生剤組成物が記載されている。しかし、ガス発生剤の融点又は分解点が高いとガス発生剤の発火温度も高くなる傾向があり、車両火災等によりガス発生器が高温に晒されてガス発生剤が燃焼した際に、その燃焼圧力に耐え切れずに容器が破裂して乗員や周囲の人達を殺傷するおそれがある。
【0005】
本発明は、上記状況を鑑みてなされたものであり、ガス発生器が破裂しない比較的低温の段階で発火するガス発生剤組成物を提供することを目的とする。
【課題を解決するための手段】
【0006】
すなわち本発明は、以下の[1]~[6]に示すものである。
[1]
燃料成分と酸化剤成分とを含有するガス発生剤組成物であって、
前記燃料成分として、融点又は分解点が90℃以上250℃未満であるラクトン構造を有する化合物を含有する、ガス発生剤組成物。
[2]
前記燃料成分と前記酸化剤成分の総量中、前記燃料成分の含有量が10~80重量%、前記酸化剤成分の含有量が20~90重量%である前項[1]に記載のガス発生剤組成物。
[3]
前記ラクトン構造を有する化合物が、2-ピロン構造を有する化合物である前項[1]または[2]に記載のガス発生剤組成物。
[4]
前記酸化剤成分が硝酸塩、金属硝酸塩、過塩素酸塩、および塩素酸塩からなる群から選ばれる1種又は2種以上のものである前項[1]から[3]のいずれか一項に記載のガス発生剤組成物。
[5]
前記燃料成分として、さらに硝酸グアニジンを含有する前項[1]から[4]のいずれか一項に記載のガス発生剤組成物。
[6]
自動発火性を有する前項[1]から[5]のいずれか一項に記載のガス発生剤組成物。
【発明の効果】
【0007】
本発明によれば、比較的低温で発火するガス発生剤組成物を提供することができる。
【発明を実施するための形態】
【0008】
以下に本発明の実施の形態を詳細に説明するが、以下に記載する構成要件の説明は、本発明の実施態様の一例(代表例)であり、本発明はその要旨を変更しない限り、以下の内容に限定されない。なお、本発明において「~」という表現を用いる場合、その前後の数値を含む表現として用いる。
【0009】
本実施形態のガス発生剤組成物は、燃料成分と酸化剤成分とを含有し、燃料成分として、融点又は分解点が90℃以上250℃未満であるラクトン構造を有する化合物を含有する。
【0010】
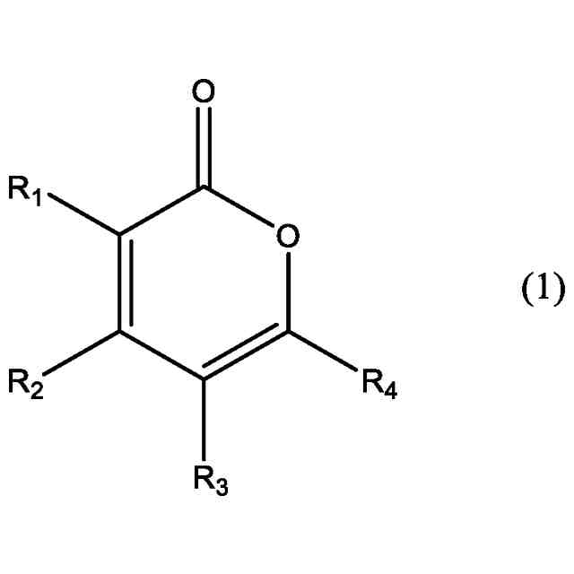
ラクトン構造を有する化合物とは、ラクトン、ラクトンから水素原子を引き抜いた基を有する化合物、及びラクトン構造を含む環構造を有する化合物を意味する。具体例としては4,5-ジカルボキシ-γ-ペンタデカノラクトン、2,3-O-イソプロピリデン-D-リボン酸γ-ラクトン、ホモゲンチジン酸γ-ラクトン、5-ヒドロキシノルボルナン2,6-ラクトン、D-(+)-グルコノ-1,5-ラクトン、D-グルクロノ-6,3-ラクトン、および2-ピロン構造を有する化合物などを挙げることができる。
(【0011】以降は省略されています)
この特許をJ-PlatPat(特許庁公式サイト)で参照する
関連特許
日本化薬株式会社
インク
22日前
日本化薬株式会社
ガス発生器
3日前
日本化薬株式会社
ガス発生器
23日前
日本化薬株式会社
ガス発生器
1か月前
日本化薬株式会社
ガス発生器
1か月前
日本化薬株式会社
前処理組成物
1か月前
日本化薬株式会社
インクセット
22日前
日本化薬株式会社
ガス発生剤組成物
22日前
日本化薬株式会社
インク組成物及び捺染方法
1か月前
日本化薬株式会社
直鎖ブテン製造用触媒及びその使用
1か月前
日本化薬株式会社
アクチュエータ、安全装置、および、飛行体
1か月前
日本化薬株式会社
メタクロレイン及び/又はメタクリル酸の製造用触媒
1か月前
富士フィルター工業株式会社
フィルタ、及びガス発生器
22日前
日本化薬株式会社
アントラキノン化合物を含有する液晶組成物及び調光素子
1か月前
日本化薬株式会社
画像表示システム及びヘッドアップディスプレイシステム
1か月前
日本化薬株式会社
インクジェット捺染用白色顔料インク組成物、及びインクセット
1か月前
日本化薬株式会社
インクジェット用インク、インクセット、インクジェット記録方法
1か月前
日本化薬株式会社
液晶滴下工法用液晶シール剤の製造方法、及び液晶表示パネルの製造方法
1か月前
日本化薬株式会社
アゾ化合物又はその塩、並びにそれらを含有する偏光膜、偏光板及び表示装置
1か月前
国立大学法人北海道大学
触媒及びそれを用いた不飽和カルボン酸の製造方法
1か月前
日本化薬株式会社
安全装置、および、安全装置を備えた飛行体
1か月前
日本化薬株式会社
縮合多環芳香族化合物、有機半導体材料、光電変換素子用材料、有機薄膜、及び有機光電変換素子
1か月前
日本化薬株式会社
ガス発生剤組成物
22日前
日本化薬株式会社
プリテンショナー用ガス発生装置
1か月前
ギリアード サイエンシーズ, インコーポレイテッド
GP120 V3グリカン指向性抗体による療法に感受性であるHIV患者を同定する方法
1日前
他の特許を見る