TOP
|
特許
|
意匠
|
商標
特許ウォッチ
Twitter
他の特許を見る
10個以上の画像は省略されています。
公開番号
2025165734
公報種別
公開特許公報(A)
公開日
2025-11-05
出願番号
2024070001
出願日
2024-04-23
発明の名称
波浪解析装置及び波浪解析プログラム
出願人
日本無線株式会社
代理人
個人
,
個人
,
個人
,
個人
主分類
G01S
7/41 20060101AFI20251028BHJP(測定;試験)
要約
【課題】本開示は、船舶等が備えるレーダを用いて、波浪クラッタを誤物標エコーとして抽出せず、物標エコーを抽出するにあたり、1スキャン程度の遅延表示を生じさせず、現在の波浪予測を不要とすることを目的とする。
【解決手段】本開示は、過去のスキャンデータに基づいて、過去の波浪の波長及び波向きを解析するスキャンデータ解析部21と、現在のスイープデータについて、過去の波浪の波長及び波向きに基づいて、ある一方向における見かけ上の現在の波浪の波長を計算するスイープデータ波長計算部22と、現在のスイープデータについて、当該ある一方向における見かけ上の現在の波浪の波長を有する正弦波関数及び/又は余弦波関数でフィッティングし、当該ある一方向における見かけ上の現在の波浪の位相を解析するスイープデータ位相解析部24と、を備えることを特徴とする波浪解析装置2である。
【選択図】図4
特許請求の範囲
【請求項1】
レーダを用いて波浪の波長、波向き及び位相を解析する波浪解析装置であって、
過去のスキャンデータ(レーダ照射方向が所定角度回転したときに取得したレーダデータ)に基づいて、前記過去の波浪の波長及び波向きを解析するスキャンデータ解析部と、
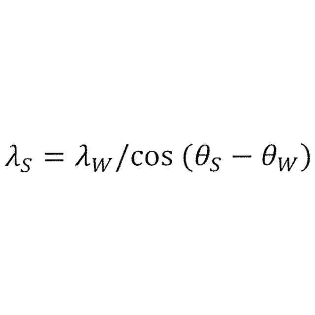
現在のスイープデータ(レーダ照射方向がある一方向にあるときに取得したレーダデータ)について、前記過去の波浪の波長及び波向きに基づいて、前記ある一方向における見かけ上の前記現在の波浪の波長を計算するスイープデータ波長計算部と、
前記現在のスイープデータについて、前記ある一方向における見かけ上の前記現在の波浪の波長を有する正弦波関数及び/又は余弦波関数でフィッティングし、前記ある一方向における見かけ上の前記現在の波浪の位相を解析するスイープデータ位相解析部と、
を備えることを特徴とする波浪解析装置。
続きを表示(約 860 文字)
【請求項2】
前記現在のスイープデータについて、波浪の空間周波数の成分を抽出し、より低い及び/又はより高い空間周波数の成分を除去するスイープデータ波浪抽出部、をさらに備え、
前記スイープデータ位相解析部は、前記現在のスイープデータについて、波浪の空間周波数の成分が抽出されたうえで、前記ある一方向における見かけ上の前記現在の波浪の波長を有する正弦波関数及び/又は余弦波関数でフィッティングする
ことを特徴とする、請求項1に記載の波浪解析装置。
【請求項3】
前記スイープデータ位相解析部は、前記現在のスイープデータに対するフィッティング後のフィッティング結果について、レーダからの距離が遠いほど振幅の減衰を強くする
ことを特徴とする、請求項1又は2に記載の波浪解析装置。
【請求項4】
前記スイープデータ位相解析部は、前記現在のスイープデータに対するフィッティング時のフィッティング関数について、レーダからの距離が遠いほど振幅の減衰を強くする
ことを特徴とする、請求項1又は2に記載の波浪解析装置。
【請求項5】
前記現在のスイープデータから、前記現在のスイープデータに対するフィッティング後のフィッティング結果を減算し、波浪クラッタを除去する波浪クラッタ除去部と、
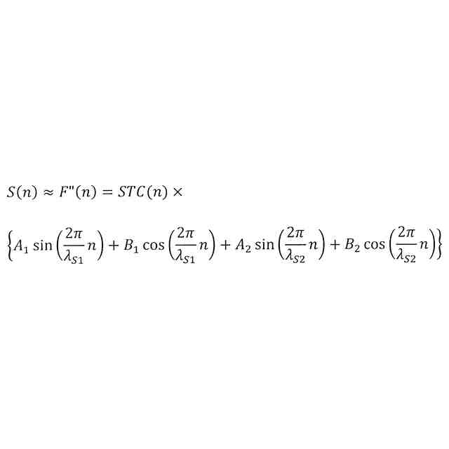
前記現在のスイープデータについて、前記波浪クラッタが除去されたうえで、トレンドを除去するSTC(Sensitivity Time Control)と、振幅閾値を設定するCFAR(Constant False Alarm Rate)と、のうちの少なくともいずれかを実行し、物標エコーを抽出する物標エコー抽出部と、
をさらに備えることを特徴とする、請求項1に記載の波浪解析装置。
【請求項6】
請求項1に記載の波浪解析装置が備える各処理部が実行する各処理ステップを、順にコンピュータに実行させるための波浪解析プログラム。
発明の詳細な説明
【技術分野】
【0001】
本開示は、船舶等が備えるレーダを用いて、波浪クラッタを除去する技術に関する。
続きを表示(約 1,300 文字)
【背景技術】
【0002】
船舶等が備えるレーダを用いて、波浪クラッタを除去する技術が、特許文献1等に開示されている。特許文献1によれば、スイープデータ(レーダ照射方向がある一方向にあるときに取得したレーダデータ)について、トレンドを除去するSTC(Sensitivity Time Control)を実行し、物標エコーを抽出することができる。
【0003】
従来技術のSTC処理の解決課題を図1に示す。スイープデータにおいて、波浪クラッタの周期的なエコー変動が、トレンド及び物標エコーに重畳することがある。
【0004】
図1の上段では、スイープデータについて、波浪クラッタの周期的なエコー変動を考慮することなく、トレンドを除去する弱いSTCを実行する。すると、スイープデータにおいて、物標エコーを抽出できるが、波浪クラッタも誤物標エコーとして抽出し得る。
【0005】
図1の下段では、スイープデータについて、波浪クラッタの周期的なエコー変動も除去するように、トレンドを除去する強いSTCを実行する。すると、スイープデータにおいて、波浪クラッタを誤物標エコーとして抽出しないが、物標エコーも除去し得る。
【先行技術文献】
【特許文献】
【0006】
特開2014-066630号公報
【非特許文献】
【0007】
V.Zinchenko,L.Vasilyev,S.O.Halstensen,and Y.Liu,“Short-time deterministic prediction of individual waves based on space-time X-band Marine radar measurements,” Journal of Engineering for the Maritime Environment,2020.
【発明の概要】
【発明が解決しようとする課題】
【0008】
スキャンデータ(レーダ照射方向が所定角度回転したときに取得したレーダデータ)に基づいて、波浪を解析する技術が、特許文献2等に開示されている。特許文献2を用いて、スキャンデータから波浪解析結果を減算し、波浪クラッタを除去することができる。
【0009】
従来技術の波浪解析処理の解決課題を図2、3に示す。PPI(Plan Position Indicator)画像が示すスキャンデータにおいて、波浪クラッタの周期的なエコー変動が、トレンド及び物標エコーに重畳することがある。
【0010】
図2では、現在のスキャンデータに基づいて、現在の波浪を解析し、現在のスキャンデータから、現在の波浪解析結果を減算する。すると、現在のスキャンデータにおいて、物標エコーを抽出できるが、1スキャン程度の遅延表示が生じてしまう。
(【0011】以降は省略されています)
この特許をJ-PlatPat(特許庁公式サイト)で参照する
関連特許
日本無線株式会社
船舶システム
1か月前
日本無線株式会社
レーダアンテナ
1か月前
日本無線株式会社
レーダアンテナ
1か月前
日本無線株式会社
波浪解析装置及び波浪解析プログラム
1か月前
日本無線株式会社
クラッタ抑制装置及びクラッタ抑制プログラム
7日前
長野日本無線株式会社
管内情報収集装置および管内情報収集システム
9日前
日本無線株式会社
移動体姿勢計測装置及び移動体姿勢計測プログラム
28日前
日本無線株式会社
物標判定装置、物標判定システム及び物標判定方法
29日前
長野日本無線株式会社
非接触送電装置および非接触電力伝送システム
1か月前
長野日本無線株式会社
非接触受電装置および非接触電力伝送システム
1か月前
日本無線株式会社
演算処理装置、降雨量推定システム、及び降雨量推定方法
1か月前
日本無線株式会社
レーダ波浪解析装置、レーダ波浪解析プログラム及びレーダ波浪解析ドローン
7日前
日本無線株式会社
レーダ波浪解析装置、レーダ波浪解析プログラム及びレーダ波浪解析ドローン
7日前
日本無線株式会社
送信ビームパターン形成装置及びレーダ装置
1か月前
日本無線株式会社
送信ビーム形成装置、送信ビーム形成プログラム、受信ビーム形成装置、受信ビーム形成プログラム及びレーダ装置
1か月前
個人
視触覚センサ
今日
日本精機株式会社
検出装置
1か月前
個人
採尿及び採便具
1か月前
個人
計量機能付き容器
25日前
株式会社ミツトヨ
測定器
1か月前
日本精機株式会社
発光表示装置
8日前
甲神電機株式会社
電流検出装置
1か月前
株式会社カクマル
境界杭
15日前
ユニパルス株式会社
トルク変換器
今日
株式会社トプコン
測量装置
7日前
ユニパルス株式会社
トルク変換器
今日
ユニパルス株式会社
トルク変換器
今日
アズビル株式会社
電磁流量計
1か月前
大成建設株式会社
風洞実験装置
25日前
大和製衡株式会社
組合せ計量装置
1か月前
日本特殊陶業株式会社
ガスセンサ
7日前
日本特殊陶業株式会社
ガスセンサ
今日
双庸電子株式会社
誤配線検査装置
1か月前
大和製衡株式会社
組合せ計量装置
1か月前
日本特殊陶業株式会社
ガスセンサ
1日前
愛知電機株式会社
軸部材の外観検査装置
1か月前
続きを見る
他の特許を見る