TOP
|
特許
|
意匠
|
商標
特許ウォッチ
Twitter
他の特許を見る
公開番号
2025165426
公報種別
公開特許公報(A)
公開日
2025-11-05
出願番号
2024069430
出願日
2024-04-23
発明の名称
二酸化炭素の吸収液、及び二酸化炭素の分離回収方法
出願人
artience株式会社
代理人
主分類
B01D
53/14 20060101AFI20251028BHJP(物理的または化学的方法または装置一般)
要約
【課題】二酸化炭素の高い吸収能、低温における二酸化炭素の高い放出能、並びに吸収、及び放出サイクルを繰り返しても劣化の少ない二酸化炭素吸収放出液と二酸化炭素の分離回収方法を提供する。
【解決手段】二酸化炭素を含むガスから二酸化炭素を分離回収するための吸収液であって、下記一般式(1)で表されるアミン化合物(A)、及び液状媒体(B)を含み、塩素の含有量が1000ppm以下である吸収液。
<com:Image com:imageContentCategory="Drawing"> <com:ImageFormatCategory>JPEG</com:ImageFormatCategory> <com:FileName>2025165426000058.jpg</com:FileName> <com:HeightMeasure com:measureUnitCode="Mm">18</com:HeightMeasure> <com:WidthMeasure com:measureUnitCode="Mm">67</com:WidthMeasure> </com:Image>
式中、R
1
は水素原子、又は置換基を有してもよい炭化水素基。R
2
は水素原子、炭素数1~8のアルキル基、又は-CH
2
CH(OH)CH
2
X
2
A
2
。X
1
は直接結合、-O-、-OC(=O)-、-CO(=O)-、又は-NA
3
-。A
1
は水素原子又はn価の有機残基。nは1~6の整数。X
2
は直接結合、-O-、-OC(=O)-、-CO(=O)-、又は-NA
3
-。A
2
は水素原子又は1価の有機残基。A
3
は水素原子又は1価の有機残基。
【選択図】なし
特許請求の範囲
【請求項1】
二酸化炭素を含むガスから二酸化炭素を分離回収するための吸収液であって、
下記一般式(1)で表されるアミン化合物(A)、及び液状媒体(B)を含み、塩素(Cl)の含有量が1000ppm以下であることを特徴とする吸収液。
JPEG
2025165426000056.jpg
18
67
式中、
R
1
は、水素原子、又は、置換基を有してもよく、炭素鎖中にヘテロ原子を有してもよい炭化水素基であって、Nに隣接する炭素原子が、第1級炭素原子、もしくは、環を構成する炭素原子であり、
R
2
は、水素原子、炭素数1~8のアルキル基であってNに隣接する炭素原子が第1級炭素原子であるか、又は、-CH
2
CH(OH)CH
2
X
2
A
2
であり、
X
1
は、直接結合、-O-、-OC(=O)-、-CO(=O)-、又は-NA
3
-であり、
A
1
は、水素原子、又は、n価の有機残基であり(ただし、X
1
が直接結合、かつA
1
が水素原子となる場合は除く)、
nは、1~6の整数であり、
X
2
は、直接結合、-O-、-OC(=O)-、-CO(=O)-、又は-NA
3
-であり、
A
2
は、水素原子、又は、1価の有機残基であり(ただし、X
2
が直接結合、かつA
2
が水素原子となる場合は除く)、
A
3
は、水素原子、又は、1価の有機残基である。
続きを表示(約 1,400 文字)
【請求項2】
前記R
1
が、窒素原子を有する、請求項1に記載の吸収液。
【請求項3】
前記R
1
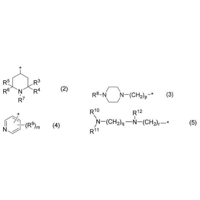
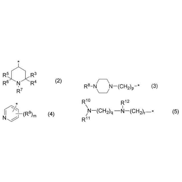
が、下記一般式(2)、一般式(3)、一般式(4)又は一般式(5)で表される基である、請求項1に記載の吸収液。
JPEG
2025165426000057.jpg
53
151
式中、
R
3
、R
4
、R
5
、及びR
6
は、それぞれ独立に、水素原子、又はメチル基であり、
R
7
は、水素原子、又は、メチル基であり、
R
8
は、水素原子、又は、メチル基であり、
pは、0~4の整数であり、
R
9
は、炭素数1~8のアルキル基であり、
mは、0~4の整数であり、
R
10
、及びR
12
は、それぞれ独立に、水素原子、炭素数1~8のアルキル基、又はヒドロキシアルキル基であり、
R
11
は、水素原子、炭素数1~8のアルキル基、ヒドロキシアルキル基、又は-(CH
2
)
s
-R
13
であり、
R
13
は、ヒドロキシ基、又は-N(R
14
)R
15
であり、R
14
及びR
15
は、それぞれ独立に水素原子、メチル基、又はヒドロキシアルキル基であり、
qは、2又は3であり、
rは、2又は3であり、
sは、2又は3である。
【請求項4】
前記A
1
が、n価の有機残基である、請求項1に記載の吸収液。
【請求項5】
前記A
1
、A
2
及びA
3
が、それぞれ独立に、置換基を有してもよく、炭素鎖中にヘテロ原子を有してもよい、直鎖、又は分岐の脂肪族炭化水素残基;置換基を有してもよい(メタ)アクリロイル残基;置換基を有してもよく、炭素鎖中にヘテロ原子を有してもよい脂環式炭化水素残基;置換基を有してもよい芳香族炭化水素残基、又は置換基を有してもよい芳香族複素環残基である、請求項1に記載の吸収液。
【請求項6】
前記R
2
が水素原子である、請求項1に記載の吸収液。
【請求項7】
塩素(Cl)の含有量が10~500ppmである請求項1に記載の吸収液。
【請求項8】
更に、アミノアルコール類、環状ポリアミン類及び鎖状ポリアミン類からなる群より選ばれる少なくとも1種のアミン化合物(C)を含む、請求項1記載の吸収液。
【請求項9】
前記液状媒体(B)が、全ハンセン溶解度パラメータ(δT)が17MPa
1/2
以上である、請求項1に記載の吸収液。
【請求項10】
前記液状媒体(B)中の水の割合が、50質量%以下である、請求項1に記載の吸収液。
(【請求項11】以降は省略されています)
発明の詳細な説明
【技術分野】
【0001】
本開示は、二酸化炭素を含むガスから二酸化炭素を高効率に分離回収するための吸収液、及び該吸収液を用いた二酸化炭素を分離回収する方法に関する。
続きを表示(約 2,900 文字)
【背景技術】
【0002】
近年、社会活動に付随する二酸化炭素やメタンといった温室効果ガス排出量の急激な増加が地球温暖化の原因の1つに挙げられている。特に、二酸化炭素は温室効果ガスの中でも、最も主要なものであり、2016年に発効されたパリ協定に従い、二酸化炭素排出量削減に向けての対策が急務となっている。
【0003】
二酸化炭素排出量削減に向けた取組みとして、二酸化炭素の分離回収が注目されており、二酸化炭素吸収液の開発が盛んにおこなわれている。そのため、近年では、発電所や製鉄所から排出される二酸化炭素含有ガスを対象として、アミン化合物の水溶液を主成分とする化学吸収法による二酸化炭素分離回収技術の開発が精力的に推進されている。
【0004】
上記アミン化合物としては、一級アルカノールアミンであるモノエタノールアミン(MEA)、ジグリコールアミン(DGA)、2-アミノ-2-メチル-1-プロパノール(AMP)、二級アルカノールアミンである2-(メチルアミノ)エタノール(MAE)、2-(エチルアミノ)エタノール(EAE)、2-(イソプロピルアミノ)エタノール(IPAE)、3-(イソプロピルアミノ)プロパノール(IPAP)、ジエタノールアミン(DEA)、ジイソプロパノールアミン(DIPA)、三級アルカノールアミンであるN-メチルジエタノールアミン(MDEA)、2-(ジメチルアミノ)エタノール(DMAE)、トリエタノールアミン(TEA)、三級アルキルアミンであるN,N,N',N'-テトラメチル-1,6-ジアミノヘキサン(TMDAH)、N,N,N',N'-テトラメチル-1,4-ジアミノブタン(TMDAB)、ビス(2-ジメチルアミノエチル)エーテル(BDER)などが知られており、特にMEAが広く用いられている。
【0005】
より少ないエネルギーでの二酸化炭素の分離回収のための従来技術として、例えば、特許文献1には、アミノ基周辺にアルキル基などの立体障害を有する二級アルカノールアミンの水溶液と大気圧下の燃焼排ガスとを接触させ二酸化炭素を吸収させる方法による燃焼排ガス中の二酸化炭素の除去方法が記載されている。
【0006】
硫化水素(H
2
S)、二酸化炭素(CO
2
)からなる群の少なくとも1つの酸性化合物を含むガス状流出物を脱酸する方法における二酸化炭素吸収剤に含まれるアミン化合物の1つとして、エチレンジアミンとネオペンチルグリコールジグリシジルエーテルを反応させた化合物からなる吸収液に関する記載(特許文献2)や、ジエチレントリアミンと酸化プロピレンを付加した化合物からなる吸収液に関する記載(特許文献3)がなされている
【0007】
いずれのアミン化合物においても、エポキシ原料としてグリシジル基を有する化合物を用いている。一般的には、これらグリシジル基を有する化合物には、原料であるエピクロロヒドリンからなる塩素含有化合物が含まれている。しかし、これら塩素含有化合物が二酸化炭素吸収液中に含有することに対する影響については全く知られていない。
【先行技術文献】
【特許文献】
【0008】
特開平5-301023号公報
特願2023-091519号公報
特開2020-157211号公報
【発明の概要】
【発明が解決しようとする課題】
【0009】
本開示は、二酸化炭素の高い吸収能、低温における二酸化炭素の高い放出能、並びに、吸収、及び放出サイクルを繰り返しても劣化の少ない二酸化炭素吸収放出液と二酸化炭素の分離回収方法を提供することを目的とする。
【課題を解決するための手段】
【0010】
本開示は、以下の二酸化炭素の吸収液、及び二酸化炭素の分離回収方法を提供する。
[1] 二酸化炭素を含むガスから二酸化炭素を分離回収するための吸収液であって、
下記一般式(1)で表されるアミン化合物(A)と、及び液状媒体(B)を含み、塩素(Cl)の含有量が1000ppm以下であることを特徴とする吸収液。
JPEG
2025165426000001.jpg
18
67
式中、
R
1
は、水素原子、又は、置換基を有してもよく、炭素鎖中にヘテロ原子を有してもよい炭化水素基であって、Nに隣接する炭素原子が、第1級炭素原子、もしくは、環を構成する炭素原子であり、
R
2
は、水素原子、炭素数1~8のアルキル基であってNに隣接する炭素原子が第1級炭素原子であるか、又は、-CH
2
CH(OH)CH
2
X
2
A
2
であり、
X
1
は、直接結合、-O-、-OC(=O)-、-CO(=O)-、又は-NA
3
-であり、
A
1
は、水素原子、又は、n価の有機残基であり(ただし、X
1
が直接結合、かつA
1
が水素原子となる場合は除く)、
nは、1~6の整数であり、
X
2
は、直接結合、-O-、-OC(=O)-、-CO(=O)-、又は-NA
3
-であり、
A
2
は、水素原子、又は、1価の有機残基であり(ただし、X
2
が直接結合、かつA
2
が水素原子となる場合は除く)、
A
3
は、水素原子、又は、1価の有機残基である。
[2] 前記R
1
が、窒素原子を有する、[1]に記載の吸収液。
[3] 前記R
1
が、下記一般式(2)、一般式(3)、一般式(4)又は一般式(5)で表される基である、[1]又は[2]に記載の吸収液。
JPEG
2025165426000002.jpg
53
151
式中、
R
3
、R
4
、R
5
、及びR
6
は、それぞれ独立に、水素原子、又はメチル基であり、
R
7
は、水素原子、又は、メチル基であり、
R
8
は、水素原子、又は、メチル基であり、
pは、0~4の整数であり、
R
9
は、炭素数1~8のアルキル基であり、
mは、0~4の整数であり、
R
10
、及びR
12
【発明の効果】
(【0011】以降は省略されています)
この特許をJ-PlatPat(特許庁公式サイト)で参照する
関連特許
株式会社西部技研
除湿装置
29日前
株式会社日本触媒
ドロー溶質
23日前
ユニチカ株式会社
複合中空糸膜
1か月前
日本バイリーン株式会社
フィルタ
8日前
サンノプコ株式会社
消泡剤
21日前
東レ株式会社
中空糸膜モジュール
1か月前
東レ株式会社
遠心ポッティング方法
15日前
トヨタ自動車株式会社
濾過装置
9日前
株式会社MRT
微細バブル発生装置
1か月前
個人
攪拌装置
1か月前
東京理化器械株式会社
クリップ
1か月前
株式会社笹山工業所
濁水処理システム
1か月前
大和ハウス工業株式会社
反応装置
1か月前
ヤマシンフィルタ株式会社
フィルタ装置
1か月前
松岡紙業 株式会社
油吸着体の製造方法
23日前
個人
気液混合装置
21日前
大陽日酸株式会社
CO2の回収方法
1か月前
富士電機株式会社
ガス処理システム
18日前
東芝ライテック株式会社
光照射装置
9日前
株式会社フクハラ
圧縮空気圧回路ユニット
21日前
本田技研工業株式会社
ガス回収装置
1か月前
株式会社明電舎
成膜装置
18日前
杉山重工株式会社
回転円筒型反応装置
1か月前
日本化薬株式会社
直鎖ブテン製造用触媒及びその使用
15日前
本田技研工業株式会社
二酸化炭素回収装置
1か月前
本田技研工業株式会社
二酸化炭素回収装置
1か月前
本田技研工業株式会社
二酸化炭素回収装置
1か月前
本田技研工業株式会社
二酸化炭素回収装置
1か月前
本田技研工業株式会社
二酸化炭素回収装置
1か月前
ノリタケ株式会社
触媒材料およびその利用
1か月前
ノリタケ株式会社
触媒材料およびその利用
1か月前
ノリタケ株式会社
触媒材料およびその利用
1か月前
本田技研工業株式会社
二酸化炭素回収装置
1か月前
本田技研工業株式会社
二酸化炭素回収装置
1か月前
本田技研工業株式会社
二酸化炭素回収装置
1か月前
本田技研工業株式会社
二酸化炭素回収装置
1か月前
続きを見る
他の特許を見る