TOP
|
特許
|
意匠
|
商標
特許ウォッチ
Twitter
他の特許を見る
10個以上の画像は省略されています。
公開番号
2025164766
公報種別
公開特許公報(A)
公開日
2025-10-30
出願番号
2025094684,2023164685
出願日
2025-06-06,2015-07-01
発明の名称
網膜保護組成物
出願人
株式会社東洋新薬
代理人
主分類
A23L
33/10 20160101AFI20251023BHJP(食品または食料品;他のクラスに包含されないそれらの処理)
要約
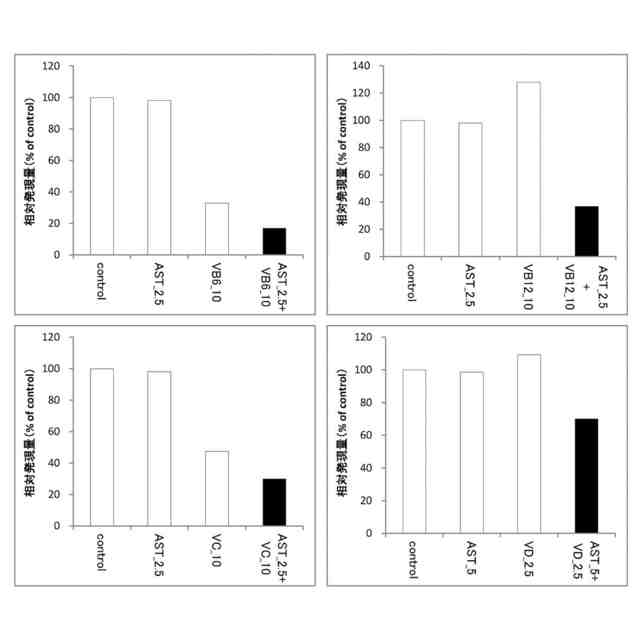
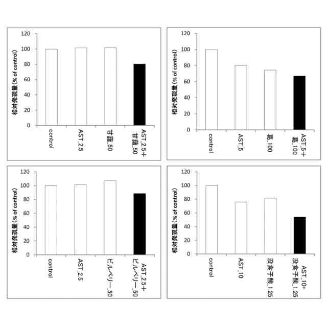
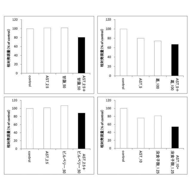
【課題】 網膜色素上皮細胞を活性酸素のダメージからより有効に保護し、網膜障害を抑制することが可能な網膜保護組成物を提供すること。
【解決手段】 アスタキサンチンと、甘藷若葉処理物、葛の花処理物、ビルベリー処理物、没食子酸、グルタミン酸、ヒスチジン、メチオニン、セリン、チロシン、バリン、ビタミンB6、ビタミンB12、ビタミンC、ビタミンD3、ビタミンK、カルシウム化合物、亜鉛化合物、鉄化合物、モリブデン化合物、クロム化合物、及びシェラックからなる群より選ばれる少なくとも1種の成分とを有効成分として含有することを特徴とする網膜保護組成物である。
【選択図】図1
特許請求の範囲
【請求項1】
アスタキサンチンを有効成分とする網膜保護用組成物であって、葛の花処理物及び甘藷若葉処理物からなる群より選ばれる少なくとも1種の成分とを含有することを特徴とする網膜保護用組成物。
発明の詳細な説明
【技術分野】
【0001】
本発明は、網膜保護組成物に係り、詳しくは、アスタキサンチン及び特定の他の成分を有効成分とする網膜保護組成物に関する。
続きを表示(約 1,100 文字)
【背景技術】
【0002】
視細胞の修復や再生に関与している網膜色素上皮の機能は、加齢とともに低下していくことが知られている。若い頃は、体内にSOD酵素が十分にあり、活性酸素による悪影響を防いでいるが、加齢とともにSOD酵素の働きが低下し、網膜色素上皮の機能も低下することになる。
【0003】
一方、アスタキサンチンは、抗酸化能力が高くビタミンEの約1000倍の抗酸化能力があることから、生体内の抗酸化剤や眼の調節機能改善などの用途が提案されている。例えば、アントシアニン及びアスタキサンチンを主成分とした健康食品が提案されている。
【先行技術文献】
【特許文献】
【0004】
特開2008-035714号公報
【発明の概要】
【発明が解決しようとする課題】
【0005】
本発明の課題は、網膜色素上皮細胞を活性酸素のダメージから有効に保護し、網膜障害を抑制することが可能な網膜保護組成物を提供することにある。
【課題を解決するための手段】
【0006】
本発明者らは、網膜において重要な役割を果たす網膜色素上皮細胞の活性酸素からの保護について鋭意調査・研究した結果、アスタキサンチンと特定の他の成分とを組み合わせることにより、高い網膜色素上皮細胞保護効果が得られることを見いだし、本発明を完成するに至った。すなわち、アスタキサンチンと、網膜色素上皮細胞保護能がほとんどないか、その能力が小さい特定の他の成分を組み合わせることにより、網膜色素上皮細胞の活性酸素によるダメージをより有効に抑制することができることを見いだした。
【0007】
すなわち、本発明は、アスタキサンチンと、甘藷若葉処理物、葛の花処理物、ビルベリー処理物、没食子酸、グルタミン酸、ヒスチジン、メチオニン、セリン、チロシン、バリン、ビタミンB6、ビタミンB12、ビタミンC、ビタミンD3、ビタミンK、カルシウム化合物、亜鉛化合物、鉄化合物、モリブデン化合物、クロム化合物、及びシェラックからなる群より選ばれる少なくとも1種の成分とを有効成分として含有することを特徴とする網膜保護組成物に関する。
【0008】
本発明の網膜保護組成物は、網膜保護作用を有する眼機能維持剤として用いることができる。
【0009】
本発明の網膜保護組成物は、有効成分を添加して得たものであってもよい。
【0010】
また、本発明の網膜保護組成物は、経口用であることが好ましく、錠剤、カプセル剤、粉末剤、顆粒剤、又は液剤であることが好ましい。
(【0011】以降は省略されています)
この特許をJ-PlatPat(特許庁公式サイト)で参照する
関連特許
株式会社東洋新薬
飲料
1か月前
株式会社東洋新薬
飲料
1か月前
株式会社東洋新薬
組成物
1か月前
株式会社東洋新薬
皮膚外用剤
1か月前
株式会社東洋新薬
皮膚外用剤
9日前
株式会社東洋新薬
経口組成物
1か月前
株式会社東洋新薬
皮膚外用剤
1か月前
株式会社東洋新薬
包装容器及び展開体
2か月前
株式会社東洋新薬
睡眠の質向上用組成物
1か月前
株式会社東洋新薬
pDC活性化用経口組成物
2か月前
株式会社東洋新薬
飲料
1か月前
株式会社東洋新薬
骨強化剤
15日前
株式会社東洋新薬
美容組成物
1日前
株式会社東洋新薬
肝機能改善剤
1か月前
株式会社東洋新薬
網膜保護組成物
1か月前
株式会社東洋新薬
青汁用の飲食用組成物
1か月前
株式会社東洋新薬
錠剤及び錠剤の製造方法
1日前
株式会社東洋新薬
テロメラーゼ発現増強剤
2か月前
株式会社東洋新薬
血中中性脂肪上昇抑制組成物
1か月前
株式会社東洋新薬
葛花乾燥粉末を含有する組成物
3日前
コタ株式会社
毛髪用糖酸化抑制剤
2か月前
個人
健康促進霊芝茶
2か月前
個人
古代食品塩梅醤
6か月前
個人
具入り餅食品
7か月前
不二製油株式会社
グミ類
2か月前
個人
ジャム
6か月前
ライソン株式会社
焙煎機
5か月前
不二製油株式会社
組成物
1か月前
個人
ヨーグルト等の発酵器
2か月前
不二製油株式会社
加工食品
2か月前
不二製油株式会社
油性食品
2か月前
株式会社東洋新薬
経口組成物
5か月前
不二製油株式会社
油脂組成物
2か月前
株式会社東洋新薬
飲料
1か月前
池田食研株式会社
風味改善剤
5か月前
不二製油株式会社
油脂組成物
3か月前
続きを見る
他の特許を見る