TOP
|
特許
|
意匠
|
商標
特許ウォッチ
Twitter
他の特許を見る
10個以上の画像は省略されています。
公開番号
2025162861
公報種別
公開特許公報(A)
公開日
2025-10-28
出願番号
2024066329
出願日
2024-04-16
発明の名称
画像形成装置
出願人
沖電気工業株式会社
代理人
個人
,
個人
主分類
G03G
15/16 20060101AFI20251021BHJP(写真;映画;光波以外の波を使用する類似技術;電子写真;ホログラフイ)
要約
【課題】転写条件が定められていない未知の媒体であっても、転写電圧を補正して、良好な転写を実現できるようにする。
【解決手段】本開示の画像形成装置は、現像剤により形成された現像剤像を担持する像担持体と、現像剤像を媒体に転写するための転写電圧を印加する転写電圧印加部と、転写電圧印加部から転写電圧の印加を受けて、像担持体の現像剤像を媒体に転写させる転写部と、転写電圧印加部の転写電圧を制御する転写制御部とを備え、転写制御部は、媒体幅が異なる媒体について、それぞれの媒体幅毎に、媒体への良好な転写を実現する転写電圧値を導出し、それぞれの媒体幅毎の転写電圧値を用いて、当該媒体の媒体幅に応じた補正転写電圧を導出するものである。
【選択図】 図1
特許請求の範囲
【請求項1】
現像剤により形成された現像剤像を担持する像担持体と、
前記現像剤像を媒体に転写するための転写電圧を印加する転写電圧印加部と、
前記転写電圧印加部から前記転写電圧の印加を受けて、前記像担持体の前記現像剤像を前記媒体に転写させる転写部と、
前記転写電圧印加部の前記転写電圧を制御する転写制御部と
を備え、
前記転写制御部は、媒体幅が異なる前記媒体について、それぞれの媒体幅毎に、前記媒体への良好な転写を実現する転写電圧値を導出し、それぞれの前記媒体幅毎の前記転写電圧値を用いて、当該媒体の前記媒体幅に応じた補正転写電圧を導出するものであることを特徴とする画像形成装置。
続きを表示(約 1,300 文字)
【請求項2】
操作パネルを備え、
前記転写制御部が、前記媒体幅毎に、前記転写電圧値を変化させて前記媒体に転写した複数の転写パターンを印刷し、
前記媒体幅毎に、前記複数の転写パターンのうち良好な転写パターンが、前記操作パネルを通じて選択され、
前記転写制御部が、前記媒体幅毎に、現在設定されている転写電圧値を、選択された前記転写パターンを形成した前記転写電圧値に補正する
ことを特徴とする請求項1に記載の画像形成装置。
【請求項3】
事前に用意された印字不良の程度を複数段階で示した見本チャートと、前記複数の転写パターンとの比較により、印字不良の有無が前記操作パネルを通じて選択され、
現在設定されている転写電圧値に対する補正量が、前記操作パネルを通じて選択される
ことを特徴とする請求項2に記載の画像形成装置。
【請求項4】
前記媒体幅が異なる前記媒体の第1の媒体幅と第2の媒体幅とのそれぞれの前記転写電圧値に基づいて、前記媒体の前記媒体幅に応じた前記補正転写電圧が導出され、
前記第1の媒体幅及び前記第2の媒体幅とは異なる別の媒体幅の前記媒体への印刷を行なう際、
前記転写制御部が、前記媒体幅に応じた前記補正転写電圧に基づいて、前記別の媒体幅に対応する転写電圧値で転写させる
ことを特徴とする請求項1に記載の画像形成装置。
【請求項5】
現像剤により形成された現像剤像を担持する像担持体と、
前記現像剤像を媒体に転写するための転写電圧を印加する転写電圧印加部と、
前記転写電圧印加部から前記転写電圧の印加を受けて、前記像担持体の前記現像剤像を前記媒体に転写させる転写部と、
前記転写電圧印加部の前記転写電圧を制御する転写制御部と
を備え、
前記転写制御部は、第1幅の媒体に対応する第1転写電圧と、前記第1幅と異なる第2幅の媒体に対応する第2転写電圧とに基づき、前記第1幅と前記第2幅のいずれとも異なる第3幅の媒体の転写電圧を決定する
ことを特徴とする画像形成装置。
【請求項6】
現像剤により形成された現像剤像を担持する像担持体と、
前記現像剤像を媒体に転写するための転写電圧を印加する転写電圧印加部と、
前記転写電圧印加部から前記転写電圧の印加を受けて、前記像担持体の前記現像剤像を前記媒体に転写させる転写部と、
前記転写電圧印加部の前記転写電圧を制御する転写制御部と
を備え、
前記転写制御部は、第1幅の媒体に前記転写電圧を可変させた第1パターンを形成し、前記第1幅と異なる前記第2幅の媒体に前記転写電圧を可変させた第2パターンを形成し、
前記第1パターンから選択された前記転写電圧と、前記第2パターンから選択された前記転写電圧とに基づき、前記第1幅と前記第2幅のいずれとも異なる第3幅の媒体の転写電圧を決定する
ことを特徴とする画像形成装置。
発明の詳細な説明
【技術分野】
【0001】
本開示は、画像形成装置に関するものである。
続きを表示(約 2,100 文字)
【背景技術】
【0002】
特許文献1には、画像形成装置の機内の湿度や媒体種類等に応じて転写バイアスを補正して転写することが開示されている。
【先行技術文献】
【特許文献】
【0003】
特開2007-286466号公報
【発明の概要】
【発明が解決しようとする課題】
【0004】
しかしながら、転写条件が定められていない未知の媒体を用いて印刷する場合に、転写電圧の設定が困難であるという課題がある。
【0005】
そのため、転写条件が定められていない未知の媒体であっても、転写電圧を補正して、良好な転写を実現できる画像形成装置が求めている。
【課題を解決するための手段】
【0006】
上述した課題を解決するために、第1の開示の画像形成装置は、(1)現像剤により形成された現像剤像を担持する像担持体と、(2)現像剤像を媒体に転写するための転写電圧を印加する転写電圧印加部と、(3)転写電圧印加部から転写電圧の印加を受けて、像担持体の現像剤像を媒体に転写させる転写部と、(4)転写電圧印加部の転写電圧を制御する転写制御部とを備え、転写制御部は、媒体幅が異なる媒体について、それぞれの媒体幅毎に、媒体への良好な転写を実現する転写電圧値を導出し、それぞれの媒体幅毎の転写電圧値を用いて、当該媒体の媒体幅に応じた補正転写電圧を導出するものであることを特徴とする。
【0007】
第2の開示の画像形成装置は、(1)現像剤により形成された現像剤像を担持する像担持体と、(2)現像剤像を媒体に転写するための転写電圧を印加する転写電圧印加部と、(3)転写電圧印加部から転写電圧の印加を受けて、像担持体の現像剤像を媒体に転写させる転写部と、(4)転写電圧印加部の転写電圧を制御する転写制御部とを備え、転写制御部は、第1幅の媒体に対応する第1転写電圧と、第1幅と異なる第2幅の媒体に対応する第2転写電圧とに基づき、第1幅と第2幅のいずれとも異なる第3幅の媒体の転写電圧を決定することを特徴とする。
【0008】
第3の本開示の画像形成装置は、(1)現像剤により形成された現像剤像を担持する像担持体と、(2)現像剤像を媒体に転写するための転写電圧を印加する転写電圧印加部と、(3)転写電圧印加部から転写電圧の印加を受けて、像担持体の現像剤像を媒体に転写させる転写部と、(4)転写電圧印加部の転写電圧を制御する転写制御部とを備え、転写制御部は、第1幅の媒体に転写電圧を可変させた第1パターンを形成し、第1幅と異なる第2幅の媒体に転写電圧を可変させた第2パターンを形成し、第1パターンから選択された転写電圧と、第2パターンから選択された転写電圧とに基づき、第1幅と第2幅のいずれとも異なる第3幅の媒体の転写電圧を決定することを特徴とする。
【発明の効果】
【0009】
本開示によれば、転写条件が定められていない未知の媒体であっても、転写電圧を補正して、良好な転写を実現できる。
【図面の簡単な説明】
【0010】
実施形態に係る画像形成装置の全体構成を示す全体構成図である。
実施形態に係る画像形成装置の制御系の構成を示す構成図である。
実施形態に係る画像形成装置において、転写電圧の大きさを決定する方法を示すフローチャートである。
実施形態に係る第1の電圧Vtr1の値を導出するテーブルである。
実施形態に係る抵抗変動測定用電流を説明する説明図である。
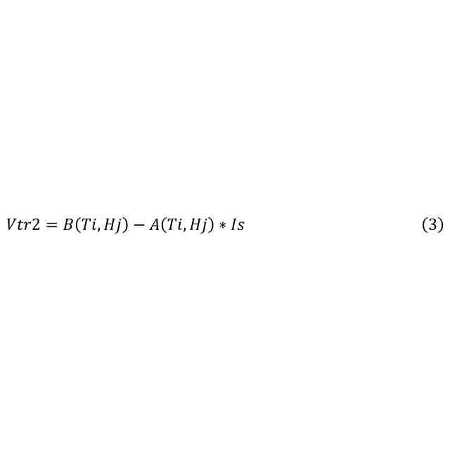
実施形態に係る第2の電圧Vtr2の導出に係るテーブル値A及びBを決定するテーブルである。
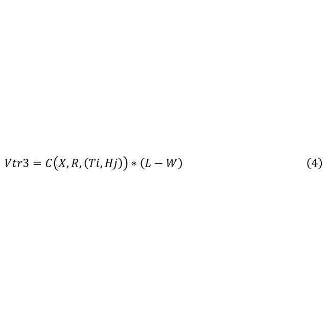
実施形態に係る第3の電圧Vtr3を説明する説明図である。
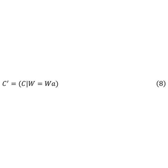
実施形態に係る第3の電圧Vtr3の導出に係るテーブル値Cを決定するテーブルである。
実施形態に係るユーザー操作による印字不良補正モードの処理手順を示すフローチャートである。
実施形態において、媒体情報を入力する表示画面の画面図である。
実施形態に係る印字不良補正パターンの構成を示す構成図である。
実施形態に係るチャートの構成を説明する説明図である。
実施形態においてチャートと見比べて印字不良の有無を選択する表示画面の画面図である。
実施形態において、チャートと見比べて補正量を選択する表示画面の画面図である。
実施形態において同一種類の他のサイズの媒体についても印字補正を継続するか否かを選択する表示画面である。
実施形態に係る画像形成装置における印字不良補正モードの処理を示すフローチャートである。
実施形態において媒体の補正前の転写電圧の状態を示す図である。
実施形態に係る印字不良補正モードで補正した媒体の補正後の転写電圧の状態を示す図である。
一律に転写電圧を補正した場合の転写電圧の状態を示す図である。
【発明を実施するための形態】
(【0011】以降は省略されています)
この特許をJ-PlatPat(特許庁公式サイト)で参照する
関連特許
沖電気工業株式会社
媒体処理装置
22日前
沖電気工業株式会社
画像形成装置
1か月前
沖電気工業株式会社
処理システム
22日前
沖電気工業株式会社
画像形成装置
24日前
沖電気工業株式会社
画像形成装置
23日前
沖電気工業株式会社
画像形成装置
22日前
沖電気工業株式会社
定着装置及び画像形成装置
25日前
沖電気工業株式会社
定着装置及び画像形成装置
22日前
沖電気工業株式会社
処理装置および処理システム
14日前
沖電気工業株式会社
電源制御装置及び画像形成装置
1か月前
沖電気工業株式会社
紙葉類取扱装置及び現金処理装置
28日前
沖電気工業株式会社
画像形成装置および媒体種別報知方法
15日前
沖電気工業株式会社
通信装置、通信方法、及び通信プログラム
23日前
沖電気工業株式会社
情報処理装置、情報処理方法およびプログラム
1日前
沖電気工業株式会社
情報処理システム、情報処理方法およびプログラム
16日前
沖電気工業株式会社
情報処理装置、情報処理方法、及び情報処理システム
22日前
沖電気工業株式会社
現像剤収容体、画像形成ユニットおよび画像形成装置
22日前
沖電気工業株式会社
経路設定装置、経路設定方法、プログラムおよび経路設定システム
1か月前
沖電気工業株式会社
画像形成装置、画像形成システム、状態提示方法、及び状態提示プログラム
22日前
沖電気工業株式会社
情報処理装置、情報処理プログラム、情報処理方法、及び情報処理システム
14日前
沖電気工業株式会社
情報処理方法、情報処理プログラム、及び情報処理装置
14日前
個人
表示装置
1か月前
個人
雨用レンズカバー
1か月前
株式会社シグマ
絞りユニット
2か月前
キヤノン株式会社
撮像装置
28日前
キヤノン株式会社
撮像装置
1か月前
日本精機株式会社
車両用投射装置
1か月前
キヤノン株式会社
撮像装置
2か月前
平和精機工業株式会社
雲台
2か月前
キヤノン株式会社
撮像装置
28日前
キヤノン株式会社
撮像装置
2か月前
キヤノン株式会社
撮像装置
28日前
株式会社リコー
画像形成装置
22日前
株式会社リコー
画像形成装置
22日前
株式会社リコー
画像形成装置
16日前
株式会社リコー
画像形成装置
25日前
続きを見る
他の特許を見る