TOP
|
特許
|
意匠
|
商標
特許ウォッチ
Twitter
他の特許を見る
10個以上の画像は省略されています。
公開番号
2025160761
公報種別
公開特許公報(A)
公開日
2025-10-23
出願番号
2024063530
出願日
2024-04-10
発明の名称
電子写真装置
出願人
キヤノン株式会社
代理人
個人
,
個人
,
個人
,
個人
主分類
G03G
5/147 20060101AFI20251016BHJP(写真;映画;光波以外の波を使用する類似技術;電子写真;ホログラフイ)
要約
【課題】トナー融着やトナー外添剤すりぬけによる白ポチや画像スジがより抑制された電子写真装置を提供すること。
【解決手段】一般式(1)で示される化合物の含有量が、一般式(1)で示される化合物の含有量と一般式(2)で示される化合物の含有量との合計に対して、10質量%以上50質量%以下であり、表面層の表面は、JISB0601:1982に規定される最大高さ粗さRmaxが0.30μm以下であることを特徴とする、電子写真装置。
【選択図】図1
特許請求の範囲
【請求項1】
電子写真感光体と、
該電子写真感光体の表面を帯電する帯電手段と、
該電子写真感光体の表面に像露光光を照射し、該電子写真感光体の表面に静電潜像を形成する像露光手段と、
該電子写真感光体の表面に形成された静電潜像を、トナー及び磁性キャリアを有する二成分現像剤を用いて現像して、該電子写真感光体の表面にトナー像を形成する現像手段と、
該電子写真感光体の表面に残留したトナーをクリーニングするためのクリーニング手段と、
該電子写真感光体の表面に形成されたトナー像を記録媒体に転写する転写手段と
を有する電子写真装置であって、
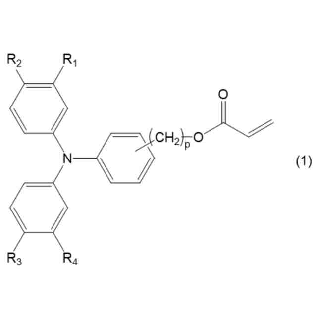
該電子写真感光体が、下記一般式(1)で示される化合物及び下記一般式(2)で示される化合物を含有する組成物の共重合物を有する表面層を有し、
該組成物中の下記一般式(1)で示される化合物の含有量が、該一般式(1)で示される化合物の含有量と該一般式(2)で示される化合物の含有量との合計に対して、10質量%以上50質量%以下であり、
該表面層の表面は、JISB0601:1982に規定される最大高さ粗さRmaxが0.30μm以下である
ことを特徴とする、電子写真装置。
JPEG
2025160761000040.jpg
80
114
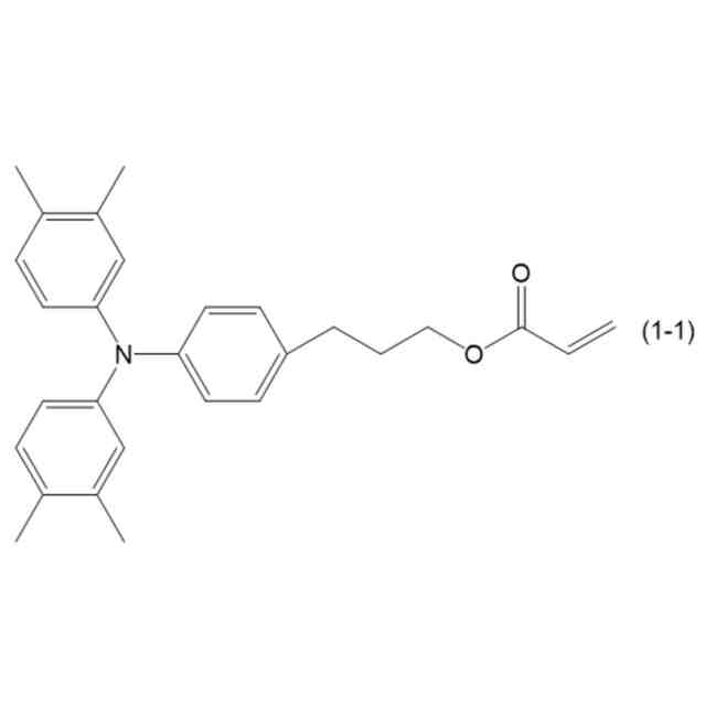
(一般式(1)中、R1、R2、R3、R4は、それぞれが、水素又はメチル基を表す。pは2以上5以下の整数を表す。)
JPEG
2025160761000041.jpg
73
125
(一般式(2)中、R5、R6は、それぞれが、水素又はメチル基を表す。qは2以上5以下の整数を表す。)
続きを表示(約 470 文字)
【請求項2】
前記組成物中の前記一般式(1)で示される化合物の含有量が、前記一般式(1)で示される化合物の含有量と前記一般式(2)で示される化合物の含有量との合計に対して、25質量%以上40質量%以下である、請求項1に記載の電子写真装置。
【請求項3】
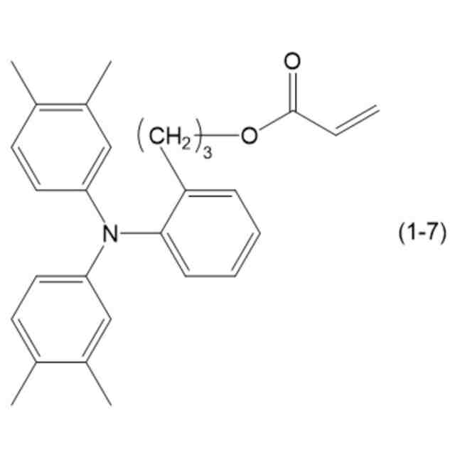
前記一般式(1)で示される化合物が、下記式(1-3)で示される化合物である、請求項1に記載の電子写真装置。
JPEG
2025160761000042.jpg
75
135
【請求項4】
前記一般式(2)で示される化合物が、下記式(2-1)で示される化合物である、請求項1に記載の電子写真装置。
JPEG
2025160761000043.jpg
93
142
【請求項5】
前記組成物が、フッ素原子含有樹脂粒子を含有しない、請求項1に記載の電子写真装置。
【請求項6】
前記表面層が、シロキサン変性アクリル樹脂を含有する、請求項1に記載の電子写真装置。
発明の詳細な説明
【技術分野】
【0001】
本発明は、電子写真装置に関する。
続きを表示(約 2,600 文字)
【背景技術】
【0002】
電子写真装置に搭載される電子写真感光体として、有機光導電性物質(電荷発生物質)を含有するものが広く使用されている。近年、電子写真感光体の長寿命化や繰り返し使用時の高画質化を目的として、電子写真感光体の機械的耐久性(耐摩耗性)の向上やクリーニング性を向上が求められている。
【0003】
電子写真感光体の耐摩耗性やクリーニング特性を向上させる技術として、特許文献1では電子写真感光体の表面にシリコーン表面修飾剤で表面修飾された金属酸化物粒子を含ませることで耐摩耗性及び耐傷性、クリーニング性を向上させる技術が開示されている。
【先行技術文献】
【特許文献】
【0004】
特開2021-67781号公報
【発明の概要】
【発明が解決しようとする課題】
【0005】
特許文献1に記載の技術では高湿環境下での繰り返し使用時において電子写真感光体表面にトナー融着やトナー外添剤のすりぬけが発生することで、画像に、白ポチ(トナーが付着すべき部分の一部にトナーが付着せず白くぬけたようになった部分)や画像スジ(例えば、画像形成進行方向に走る線状や帯状のスジ)が生じる場合があった。
そこで、本発明の目的を、トナー融着やトナー外添剤のすりぬけによる白ポチや画像スジがより抑制された電子写真装置を提供することにする。
【課題を解決するための手段】
【0006】
上記課題を解決するために、本発明は、
電子写真感光体と、
該電子写真感光体の表面を帯電する帯電手段と、
該電子写真感光体の表面に像露光光を照射し、該電子写真感光体の表面に静電潜像を形成する像露光手段と、
該電子写真感光体の表面に形成された静電潜像を、トナー及び磁性キャリアを有する二成分現像剤を用いて現像して、該電子写真感光体の表面にトナー像を形成する現像手段と、
該電子写真感光体の表面に残留したトナーをクリーニングするためのクリーニング手段と、
該電子写真感光体の表面に形成されたトナー像を記録媒体に転写する転写手段と
を有する電子写真装置であって、
該電子写真感光体が、下記一般式(1)で示される化合物及び下記一般式(2)で示される化合物を含有する組成物の共重合物を有する表面層を有し、
該組成物中の下記一般式(1)で示される化合物の含有量が、該一般式(1)で示される化合物の含有量と該一般式(2)で示される化合物の含有量との合計に対して、10質量%以上50質量%以下であり、
該表面層の表面は、JISB0601:1982に規定される最大高さ粗さRmaxが0.30μm以下である
ことを特徴とする、電子写真装置である。
【発明の効果】
【0007】
本発明によれば、トナー融着と外添剤すり抜けによる白ポチと画像スジが改善された、電子写真装置を提供することができる。
【図面の簡単な説明】
【0008】
電子写真装置の構成の一例を示す概略図である。
固体露光装置の一例を示す概略図である。
帯電ローラのクラウン形状を表す概略図である。
現像器及びトナー補給装置の一例を示す概略図である。
トナーの表面処理装置の一例を示す図である。
クリーニングブレードの侵入量を示す概略図である。
【発明を実施するための形態】
【0009】
<一実施の形態>
本発明の一実施の形態は、電子写真装置についてである。
本発明の電子写真装置は、
電子写真感光体と、
該電子写真感光体の表面を帯電する帯電手段と、
該電子写真感光体の表面に像露光光を照射し、該電子写真感光体の表面に静電潜像を形成する像露光手段と、
該電子写真感光体の表面に形成された静電潜像を、トナー及び磁性キャリアを有する二成分現像剤を用いて現像して、該電子写真感光体の表面にトナー像を形成する現像手段と、
該電子写真感光体の表面に残留したトナーをクリーニングするためのクリーニング手段と、
該電子写真感光体の表面に形成されたトナー像を記録媒体に転写する転写手段と
を有する電子写真装置であって、
該電子写真感光体が、下記一般式(1)で示される化合物及び下記一般式(2)で示される化合物を含有する組成物の共重合物を有する表面層を有し、
該組成物中の下記一般式(1)で示される化合物の含有量が、該一般式(1)で示される化合物の含有量と該一般式(2)で示される化合物の含有量との合計に対して、10質量%以上50質量%以下であり、
該表面層の表面は、JISB0601:1982に規定される最大高さ粗さRmaxが0.30μm以下であることを特徴とする。
以下実施形態について説明する。
【0010】
本発明の電子写真装置は、組成物中の下記一般式(1)で示される化合物の含有量が、下記一般式(1)で示される化合物及び下記一般式(2)で示される化合物の合計の含有量に対して、10質量%以上50質量%以下であることで膜中の架橋密度がさがり電子写真感光体の表面の摩耗量が増大する。摩耗量が増加すると外添剤が電子写真感光体表面に付着しづらくなるため融着が抑制される。
JPEG
2025160761000002.jpg
72
103
(一般式(1)中、R
1
、R
2
、R
3
、R
4
は、それぞれが水素又はメチル基を表す。pは2以上5以下の整数を表す。pは2以上3以下の整数であることが好ましい。)
JPEG
2025160761000003.jpg
66
113
(一般式(2)中、R
5
、R
6
は、それぞれが、水素又はメチル基を表す。qは2以上5以下の整数を表す。qは2以上3以下の整数であることが好ましい。)
(【0011】以降は省略されています)
この特許をJ-PlatPat(特許庁公式サイト)で参照する
関連特許
個人
表示装置
1か月前
個人
雨用レンズカバー
1か月前
日本精機株式会社
プロジェクタ
2日前
日本精機株式会社
車両用投射装置
1か月前
キヤノン株式会社
撮像装置
1か月前
キヤノン株式会社
撮像装置
1か月前
キヤノン株式会社
撮像装置
1か月前
キヤノン株式会社
撮像装置
9日前
株式会社リコー
画像形成装置
23日前
株式会社リコー
画像形成装置
1か月前
株式会社リコー
画像形成装置
1か月前
株式会社リコー
画像形成装置
1か月前
株式会社リコー
画像形成装置
1か月前
キヤノン株式会社
トナー
1か月前
キヤノン株式会社
画像形成装置
1か月前
キヤノン株式会社
画像形成装置
1か月前
キヤノン株式会社
画像形成装置
17日前
キヤノン株式会社
トナー
2か月前
キヤノン株式会社
トナー
2か月前
スタンレー電気株式会社
照明装置
2か月前
沖電気工業株式会社
画像形成装置
1か月前
沖電気工業株式会社
画像形成装置
4日前
アイホン株式会社
カメラシステム
1か月前
レーザーテック株式会社
光源装置
4日前
キヤノン株式会社
レンズキャップ
1か月前
キヤノン株式会社
現像装置
1か月前
レーザーテック株式会社
光源装置
25日前
沖電気工業株式会社
画像形成装置
1か月前
ブラザー工業株式会社
画像形成装置
1か月前
ブラザー工業株式会社
画像形成装置
1か月前
株式会社電気印刷研究所
静電印刷用積層体
2か月前
古野電気株式会社
装置
1か月前
シャープ株式会社
捺染トナー
2日前
キヤノン株式会社
画像形成装置
1か月前
キヤノン株式会社
画像形成装置
1か月前
キヤノン株式会社
画像形成装置
23日前
続きを見る
他の特許を見る