TOP
|
特許
|
意匠
|
商標
特許ウォッチ
Twitter
他の特許を見る
10個以上の画像は省略されています。
公開番号
2025160279
公報種別
公開特許公報(A)
公開日
2025-10-22
出願番号
2025121559,2022507483
出願日
2025-07-18,2020-08-05
発明の名称
カチオン性ポリマーにグラフトしたトリアゾール化合物を含む核酸分子を細胞にトランスフェクトするための組成物及びその用途
出願人
ポリプラス トランスフェクション
代理人
個人
,
個人
,
個人
主分類
C08G
73/04 20060101AFI20251015BHJP(有機高分子化合物;その製造または化学的加工;それに基づく組成物)
要約
【課題】核酸分子を細胞にトランスフェクトするためのより効率的なトランスフェクション組成物又は製剤を提供する。また、細胞に投与するための前記組成物又はそのような組成物を含む製剤を用いて、核酸分子をトランスフェクトする方法を提供する。
【解決手段】(i)一般式(III)の少なくとも1つの化合物、又はその互変異性体、メソマー、ラセミ体、エナンチオマー、ジアステレオマー、若しくは混合物、又はその許容される塩、及び(ii)許容される賦形剤、緩衝剤、細胞培養培地、又はトランスフェクション培地を含む、細胞、好ましくは真核細胞に核酸分子をトランスフェクトするのに適した組成物である。
【選択図】図5
特許請求の範囲
【請求項1】
(i)一般式(III)の少なくとも1つの化合物、又はその互変異性体、メソマー、ラセミ体、エナンチオマー、ジアステレオマー、若しくは混合物、又はその許容される塩、並びに(ii)許容される賦形剤、緩衝剤、細胞培養培地又はトランスフェクション培地を含む、細胞、好ましくは真核細胞に核酸分子をトランスフェクトするのに適した組成物であって、
JPEG
2025160279000104.jpg
32
170
式中、
- Z
1
は、H、X
1
-R
3
-X
2
-P
+
、X
1
-R
3
-P
+
、X
1
-X
2
-P
+
、R
3
-X
2
-P
+
、X
1
-P
+
、R
3
-P
+
、若しくはX
2
-P
+
を表すか、又はZ
1
は存在しない、
- Z
2
は、H、直鎖又は分枝鎖の飽和又は不飽和のC
1
~C
18
アルキル、C
6
~C
18
アリール、直鎖又は分枝鎖の飽和又は不飽和のC
6
~C
18
アリール-C
1
~C
18
アルキル、直鎖又は分枝鎖の飽和又は不飽和のC
2
~C
18
ヘテロアルキル、C
5
~C
10
ヘテロアリール、ハロゲン、OH、直鎖又は分枝鎖の飽和又は不飽和のC
1
~C
18
アルキルアミン、C
1
~C
12
アルコキシ、直鎖又は分枝鎖の飽和又は不飽和のC
1
~C
18
アルキル-C
1
~C
12
アルコキシ、X
1
-R
3
-X
2
-P
+
、X
続きを表示(約 5,600 文字)
【請求項2】
細胞にトランスフェクトされる少なくとも1つの核酸分子、好ましくはデオキシリボ核酸(DNA)、リボ核酸(RNA)、DNA/RNAハイブリッド、低分子干渉RNA(siRNA)、マイクロRNA(miRNA)、低分子ヘアピンRNA(shRNA)、メッセンジャーRNA(mRNA)、CRISPRガイドRNA、及び前記核酸分子をコードする発現ベクター、特に前記核酸分子をコードするプラスミド又は前記核酸分子を発現するプラスミドからなる群から選択される核酸分子を更に含む、請求項1に記載の組成物。
【請求項3】
前記少なくとも1つの核酸分子がDNAである、請求項2に記載の組成物。
【請求項4】
R又はVが、H、メチル、エチル、プロピル、シクロプロピル、イソプロピル、sec-ブチル、シクロペンチル、フェニル、フルオロフェニル、ベンジル、ピリジン、2-ピリジン、3-ピリジン、フルオロベンジル、置換モルホリニル、置換ピペラジニル、4-ヒドロキシベンジル又は4-ヒドロキシフェネチルを表す、より好ましくは、R又はVが、メチル、エチル、プロピル、シクロプロピル、イソプロピル、sec-ブチル、シクロペンチル、フェニル、ベンジル、フルオロベンジル、4-ヒドロキシフェネチル、2-ピリジン又は3-ピリジンを表す、請求項1から3のいずれか一項に記載の組成物。
【請求項5】
(i)Z
1
、Z
2
又はZ
3
の1つのみが、X
1
-R
3
-X
2
-P
+
、X
1
-R
3
-P
+
、X
1
-X
2
-P
+
、R
3
-X
2
-P
+
、X
1
-P
+
、R
3
-P
+
又はX
2
-P
+
を表し、式中、X
1
、X
2
、R
3
及びP
+
が請求項1に規定の通りである、好ましくはZ
1
、Z
2
又はZ
3
の1つのみがX
1
-R
3
-X
2
-P
+
を表し、式中、X
1
がCH
2
を表し、X
2
がCOを表し、R
3
が(CH
2
)
m
を表し、mが1~3の間の整数を表し、好ましくはmが2に等しい、及び/又は
(ii)Z
1
がHを表す、及び/又は
(iii)Z
2
が、H、C
1
~C
12
アルコキシ、又は直鎖若しくは分枝鎖の飽和若しくは不飽和のC
1
~C
18
アルキル、好ましくは直鎖若しくは分枝鎖の飽和若しくは不飽和のC
1
~C
6
アルキルを表す、より好ましくはZ
2
【請求項6】
(i)Z
1
が、X
1
-R
3
-X
2
-P
+
、X
1
-R
3
-P
+
、X
1
-X
2
-P
+
、R
3
-X
2
-P
+
、X
1
-P
+
、R
3
-P
+
、又はX
2
-P
+
、好ましくはX
1
-R
3
-X
2
-P
+
を表し、式中、X
1
、X
2
、R
3
及びP
+
が本明細書に規定の通りである、より好ましくは、Z
1
がX
1
-R
3
-X
2
-P
+
を表し、式中、X
1
がCH
2
を表し、X
2
がCOを表し、R
3
が(CH
2
)
m
を表し、mが1~3の間の整数を表し、好ましくはmが2に等しい場合、
(ii)Z
2
が、H、C
1
~C
12
アルコキシ、又は直鎖若しくは分枝鎖の飽和若しくは不飽和のC
1
~C
18
アルキル、好ましくは直鎖若しくは分枝鎖の飽和若しくは不飽和のC
1
~C
6
アルキルを表す、より好ましくはZ
2
が、H、CH
3
、CF
3
【請求項7】
(i)Z
2
が、X
1
-R
3
-X
2
-P
+
、X
1
-R
3
-P
+
、X
1
-X
2
-P
+
、R
3
-X
2
-P
+
、X
1
-P
+
、R
3
-P
+
、又はX
2
-P
+
、好ましくはX
1
-R
3
-X
2
-P
+
を表し、式中、X
1
、X
2
、R
3
及びP
+
が本明細書に規定の通りである、より好ましくは、Z
2
が、X
1
-R
3
-X
2
-P
+
を表し、式中、X
1
がCH
2
を表し、X
2
がCOを表し、R
3
が(CH
2
)
m
を表し、mが1~3の間の整数を表し、好ましくはmが2に等しい場合、
(ii)Z
1
がHを表す、及び/又は
(iii)Z
3
が、H、直鎖若しくは分枝鎖の飽和若しくは不飽和のC
1
~C
18
アルキル、好ましくは直鎖若しくは分枝鎖の飽和若しくは不飽和のC
1
~C
6
アルキル、又は直鎖若しくは分枝鎖の飽和若しくは不飽和のC
6
~C
18
アリール-C
1
【請求項8】
(i)Z
3
が、X
1
-R
3
-X
2
-P
+
、X
1
-R
3
-P
+
、X
1
-X
2
-P
+
、R
3
-X
2
-P
+
、X
1
-P
+
、R
3
-P
+
、又はX
2
-P
+
、好ましくはX
1
-R
3
-X
2
-P
+
を表し、式中、X
1
、X
2
、R
3
及びP
+
が本明細書に規定の通りである、より好ましくは、Z
3
が、X
1
-R
3
-X
2
-P
+
を表し、式中、X
1
が、CH
2
を表し、X
2
がCOを表し、R
3
が(CH
2
)
m
を表し、mが1~3の間の整数を表し、好ましくはmが2に等しい場合、
(ii)Z
1
がHを表す、及び/又は
(iii)Z
2
が、H、C
1
~C
12
アルコキシ、又は直鎖若しくは分枝鎖の飽和若しくは不飽和のC
1
~C
18
アルキル、好ましくは直鎖若しくは分枝鎖の飽和若しくは不飽和のC
1
~C
6
アルキルを表す、より好ましくは、Z
2
【請求項9】
(i)R又はVが、X
1
-R
3
-X
2
-P
+
、X
1
-R
3
-P
+
、X
1
-X
2
-P
+
、R
3
-X
2
-P
+
、X
1
-P
+
、R
3
-P
+
、又はX
2
-P
+
、好ましくはX
1
-R
3
-X
2
-P
+
を表し、式中、X
1
、X
2
、R
3
及びP
+
が本明細書に規定の通りである、より好ましくはZ
3
が、X
1
-R
3
-X
2
-P
+
を表し、式中、X
1
がCH
2
を表し、X
2
がCOを表し、R
3
が(CH
2
)
m
を表し、mが1~3の間の整数を表し、好ましくはmが2に等しい場合、
(ii)Z
1
がHを表す、及び/又は
(iii)Z
2
が、H、C
1
~C
12
アルコキシ、又は直鎖若しくは分枝鎖の飽和若しくは不飽和のC
1
~C
18
アルキル、好ましくは直鎖若しくは分枝鎖の飽和若しくは不飽和のC
1
~C
6
アルキルを表す、及び/又は
(iv)Z
3
【請求項10】
(i)R又はVが、X
1
-R
3
-X
2
-P
+
、X
1
-R
3
-P
+
、X
1
-X
2
-P
+
、R
3
-X
2
-P
+
、X
1
-P
+
、R
3
-P
+
、又はX
2
-P
+
、好ましくはX
1
-R
3
-X
2
-P
+
を表し、式中、X
1
、X
2
、R
3
及びP
+
が本明細書に規定の通りである、より好ましくはZ
3
が、X
1
-R
3
-X
2
-P
+
を表し、式中、X
1
がCH
2
を表し、X
2
がCOを表し、R
3
が(CH
2
)
m
を表し、mが1~3の間の整数を表し、好ましくはmが2に等しい場合、
(ii)Z
3
が存在し、Z
3
がH、直鎖若しくは分枝鎖の飽和若しくは不飽和のC
1
~C
18
アルキル、好ましくは直鎖若しくは分枝鎖の飽和若しくは不飽和のC
1
~C
6
アルキル、又は直鎖若しくは分枝鎖の飽和若しくは不飽和のC
6
~C
18
アリール-C
1
~C
18
アルキル、好ましくはフルオロベンジル又は4-ヒドロキシフェネチルを表す、請求項1から9のいずれか一項に記載の組成物。
(【請求項11】以降は省略されています)
発明の詳細な説明
【技術分野】
【0001】
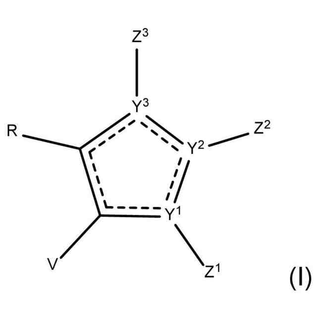
本発明は、カチオン性ポリマーにグラフトした複素環化合物、特にトリアゾール誘導体を含む、核酸分子を細胞にトランスフェクトするための組成物、及びその用途に関する。本発明は、(i)一般式(I)の少なくとも1つの化合物、好ましくは一般式(III)の少なくとも1つの化合物、又はその互変異性体、メソマー、ラセミ体、エナンチオマー、ジアステレオマー、若しくは混合物、又はその許容される塩、及び(ii)許容される賦形剤、緩衝剤、細胞培養培地、又はトランスフェクション培地を含む、細胞、好ましくは真核細胞に核酸分子をトランスフェクトするのに適した組成物であって、式中、Y
1
、Y
2
、Y
3
、Z
1
、Z
2
、Z
3
、X
1
、X
2
、R
3
、P
+
、R及びVは、本明細書で定義される通りである、組成物を対象とする。本発明はまた、前記組成物の使用、及び生細胞のインビトロ又はエクスビボのトランスフェクションのための方法に関する。
続きを表示(約 2,900 文字)
【背景技術】
【0002】
遺伝子導入は、外来性遺伝子のコピーを生細胞に導入し、その遺伝子産物の合成を誘導するプロセスである。トランスフェクションは、非ウイルス性の方法を利用して核酸(DNA又はRNA)を真核細胞に意図的及び人為的に導入するプロセスである。トランスフェクションは、現代の生物学及び医学の発展にとって根本的に重要なものであり、遺伝子の機能及び制御に関する知見の多くを提供してきた。
【0003】
本発明によるトランスフェクションは、種々の細胞、例えば哺乳類細胞及び昆虫細胞、初代細胞、細胞株、安定細胞、又は腫瘍細胞において達成し得る。トランスフェクションは、細胞内で新しい外来タンパク質を発現させる可能性、又は天然に存在するタンパク質を過剰発現若しくはサイレンシングさせる可能性を提供することによる、インビトロゲノム研究のための強力なツールである。
【0004】
本発明によるトランスフェクションは、エクスビボ又はインビボのプロトコルによって治療に適用し得る。非ウイルスベクターを用いた核酸ベースの治療は、種々の組織/器官又は腫瘍における様々な疾患、遺伝性疾患、免疫疾患、がん又はウイルス感染を標的とし得る。細胞標的化は、異なる機構によって達成され、トランスフェクション試薬の性質及び特性、方法又はプロトコル、組成又は配合、及び投与経路に依存する(Kaestnerら、2015)。
【0005】
バイオプロダクションにおいて、本発明によるトランスフェクションは、組換えタンパク質、ペプチド又は抗体を過剰産生する安定的な細胞クローンを生成するために使用し得る。より近年には、一過性の遺伝子発現(TGE)を可能にするトランスフェクションは、研究及びプロセス開発段階に有用な中程度のレベルの組換えタンパク質又は抗体を迅速に産生するための価値ある方法となりつつある。一過性遺伝子発現プロセスは、アデノ随伴ウイルス(AAV)、レンチウイルス(LV)又はアデノウイルス等の組換えウイルスの産生に都合の良いように適用される(Mertenら、2016; Van Der Loo及びWright、2015)。このようなプロセスは、キャプシドタンパク質、ヘルパータンパク質、エンベロープタンパク質、ウイルスポリメラーゼ又はレギュレーター、又はウイルスゲノムを含む、ウイルスの産生に必要な異なる成分を細胞内で発現する多数の発現ベクター(プラスミド)をトランスフェクトすることからなる。ウイルスの産生には、HEK293及び誘導体細胞、HeLa、BHK-21、A549、又は昆虫細胞等の高産生性の細胞が用いられる。トランスフェクションは、血清を含む培地、又はタンパク質を含まない、既知組成若しくは完全に合成された培地中で培養された高細胞密度の接着細胞又は浮遊適応細胞において達成し得る。
【0006】
トランスフェクションは、ジンクフィンガーヌクレアーゼ、CRE/LOXタンパク質、又はCRISPR Cas-9タンパク質等の、ゲノムの改変、操作又は編集を誘導するために必要な種々の成分を細胞に導入する方法である。
【0007】
DNAトランスフェクションは、タンパク質若しくはペプチド及び/又は核酸、例えばメッセンジャーRNA、ロングRNA、マイクロRNA、低分子ヘアピンRNA、低分子干渉RNA等のプロモーターによって駆動される遺伝子発現を引き起こすプラスミドDNAを使用する。
【0008】
殆ど全ての場合において、プラスミドDNAはトランスフェクションの目的で使用されてきたが、これは、その固有の安定性、及び宿主ゲノムと一体化して安定した遺伝子発現をもたらす能力、又はエピソームの形態で核内に留まり一過性遺伝子発現をもたらす能力によるものである。しかし、「トランスフェクション困難」細胞(HTT)と呼ばれる一部の細胞は、実験室条件で日常的に使用されている標準的な形質転換細胞株と比較して、DNAトランスフェクションに抵抗性であるか、又は示すトランスフェクション及び遺伝子発現のレベルが低い。これらの「トランスフェクション困難」細胞は、LipoFectAmine(登録商標)2000及び3000(ThermoFisher社)、TransIT reagents(登録商標)(MirusBio社)、FuGene(登録商標)(Promega社)、XtremeGene(登録商標)(Roche社)、jetPRIME(登録商標)(Polyplus-transfection社)又はViaFect(登録商標)(Promega社)等の前世代の市販のトランスフェクション試薬でトランスフェクトした場合、50%未満のトランスフェクション効率を示す。
【0009】
HTT細胞の遺伝子発現効率を向上させるための近年の進歩は、プラスミドDNAコンストラクトではなくメッセンジャーRNA(mRNA)配列によるトランスフェクションであり、これにより、大多数の細胞種、特に困難なHTT細胞においてトランスフェクション及び遺伝子発現レベルの著しい向上が示された。この利点は、核への到達及び浸透が大きな制限となるDNAトランスフェクションとは対照的に、トランスフェクトされたmRNAは細胞作用のために核に到達する必要がないという事実によって説明される。プラスミドDNAの移入についてはよく理解されていないが、効率的なDNAトランスフェクションは、主に活発な細胞の増殖率と関連しており、この場合、トランスフェクトされたDNAが核膜の破壊中に核内空間に拡散し得る。殆どの分裂終了細胞又は非分裂細胞において、DNAトランスフェクションは効果的ではない。HTT細胞の大部分、例えば神経細胞、又は神経組織由来の他の細胞種、樹状細胞若しくはマクロファージ等の初代血液細胞、又は初代肝細胞等は、有糸分裂のレベルが低いか、又は有糸分裂がないことが示されている。しかし、他のHTT細胞では、トランスフェクション効率の低さは、細胞の脆弱性、細胞原形質膜へのトランスフェクション物質の結合の低さ、エンドサイトーシス能力の低さ、又はトランスフェクトされたDNAの核への非効率的な細胞内輸送等の他の要因によって説明し得る。
【0010】
プラスミドDNAのトランスフェクションは、培養によって増殖した細胞でタンパク質を過剰発現させる最も一般的な方法である。遺伝的DNA物質を細胞に導入する方法の多くは、リン酸カルシウム、カチオン性リポソーム、ペプチド又はポリマー等の試薬の使用を含む。トランスフェクションに失敗した場合、一般的に試薬が原因と認識される。特にHTT細胞へのトランスフェクション試薬の効率を、新しいコンセプト及び次世代の試薬によって向上させることは未だに必要とされている。
(【0011】以降は省略されています)
この特許をJ-PlatPat(特許庁公式サイト)で参照する
関連特許
東ソー株式会社
ペレット
18日前
ユニチカ株式会社
透明シート
1か月前
株式会社カネカ
硬化性組成物
3か月前
ユニチカ株式会社
透明シート
2か月前
株式会社コバヤシ
成形体
1か月前
東レ株式会社
熱硬化性樹脂組成物
2か月前
東レ株式会社
ポリエステルフィルム
1か月前
丸住製紙株式会社
変性パルプ
1か月前
住友精化株式会社
吸水剤の製造方法
1か月前
東ソー株式会社
ゴム用接着性改質剤
19日前
東レ株式会社
引抜成形品の製造方法
2か月前
東レ株式会社
ポリエステルフィルム
16日前
横浜ゴム株式会社
重荷重タイヤ
1か月前
東レ株式会社
ポリオレフィン微多孔膜
3か月前
花王株式会社
樹脂組成物
3か月前
東レ株式会社
ポリプロピレンフィルム
1か月前
東ソー株式会社
樹脂組成物および蓋材
1か月前
東ソー株式会社
樹脂組成物および蓋材
1か月前
日本特殊陶業株式会社
樹脂成形体
1か月前
株式会社コバヤシ
光硬化性組成物
3か月前
株式会社スリーボンド
硬化性樹脂組成物
1か月前
アイカ工業株式会社
光硬化性樹脂組成物
1か月前
UBE株式会社
衝撃吸収材
1か月前
ノリタケ株式会社
担体構造体
24日前
株式会社カネカ
シーリング材
23日前
住友ベークライト株式会社
ポリマー
19日前
株式会社カネカ
硬化性組成物
1か月前
株式会社大阪ソーダ
熱可塑性材料用組成物
3か月前
株式会社カネカ
硬化性組成物
2か月前
三洋化成工業株式会社
熱成形用樹脂組成物
26日前
住友ベークライト株式会社
ポリマー
19日前
住友化学株式会社
樹脂組成物
1か月前
株式会社サンエー化研
フィルム
23日前
東レ株式会社
ポリエステル組成物の製造方法
1か月前
アキレス株式会社
燻蒸用生分解性樹脂シート
2か月前
株式会社村田製作所
樹脂組成物
3か月前
続きを見る
他の特許を見る