TOP
|
特許
|
意匠
|
商標
特許ウォッチ
Twitter
他の特許を見る
公開番号
2025157185
公報種別
公開特許公報(A)
公開日
2025-10-15
出願番号
2025060681
出願日
2025-04-01
発明の名称
酸発生剤、塩、樹脂、レジスト組成物及びレジストパターンの製造方法
出願人
住友化学株式会社
代理人
弁理士法人新樹グローバル・アイピー
主分類
G03F
7/004 20060101AFI20251007BHJP(写真;映画;光波以外の波を使用する類似技術;電子写真;ホログラフイ)
要約
【課題】良好なラインエッジラフネスを有するレジストパターンを製造することができる塩、酸発生剤、樹脂、レジスト組成物を提供する。
【解決手段】式(I)で表される塩、酸発生剤、樹脂及びレジスト組成物。
<com:Image com:imageContentCategory="Drawing"> <com:ImageFormatCategory>TIFF</com:ImageFormatCategory> <com:FileName>2025157185000197.tif</com:FileName> <com:HeightMeasure com:measureUnitCode="Mm">27</com:HeightMeasure> <com:WidthMeasure com:measureUnitCode="Mm">153</com:WidthMeasure> </com:Image>
[式中、Q
1
、Q
2
、R
1
及びR
2
はそれぞれ水素原子、フッ素原子等;zは0~6の整数;X
2
は単結合、-O-、-CO-等;mm1及びmm2は0又は1;W
1
は、置換基を有してもよい環状炭化水素基を表し、該環状炭化水素基に含まれる-CH
2
-は、-O-、-S-、-CO-又は-SO
2
-等に置き換わっていてもよい;L
1
及びL
2
はそれぞれ単結合又は置換/非置換の炭化水素基;L
3
は単結合、アルカンジイル基;X
1
は単結合、-O-、-CO-等;R
0
は、水素原子、ハロゲン原子等;R
3
は水素原子又はアルキル基;ZI
+
は有機カチオンを表す。]
【選択図】なし
特許請求の範囲
【請求項1】
式(I)で表される塩又は式(IP)で表される構造単位を含有する酸発生剤。
TIFF
2025157185000185.tif
70
155
[式(I)及び式(IP)中、
Q
1
、Q
2
、R
1
及びR
2
は、それぞれ独立に、水素原子、フッ素原子、炭素数1~6のペルフルオロアルキル基又は炭素数1~6のアルキル基を表す。
zは、0~6のいずれかの整数を表し、zが2以上のとき、複数のR
1
及びR
2
は互いに同一であっても異なってもよい。
X
2
は、単結合、又は、-O-、-CO-、-S-、-SO-、-SO
2
-、-NR
5
-もしくはこれらを組み合わせて形成される基を表す。
mm1は、0又は1を表す。
W
1
は、置換基を有してもよい炭素数3~36の環状炭化水素基を表し、該環状炭化水素基に含まれる-CH
2
-は、-O-、-S-、-CO-、-SO-、-NR
7
-又は-SO
2
-に置き換わっていてもよい。
mm2は、0又は1を表す。
L
1
及びL
2
は、それぞれ独立に、単結合又は置換基を有してもよい炭素数1~28の炭化水素基を表し、該炭化水素基に含まれる-CH
2
-は、-O-、-S-、-SO
2
-、-SO-、-NR
4
-又は-CO-に置き換わっていてもよい。
L
3
は、単結合又は炭素数1~6のアルカンジイル基を表し、該アルカンジイル基に含まれる-CH
2
-は、-O-又は-CO-に置き換わっていてもよい。
X
1
は、単結合、又は、-O-、-CO-、-S-、-SO-、-SO
2
-、-NR
5
-、置換基を有してもよいフェニレン基もしくはこれらを組み合わせた基を表す。
R
0
は、水素原子、ハロゲン原子又はハロゲン原子を有していてもよい炭素数1~6のアルキル基を表す。
R
3
、R
4
、R
5
及びR
7
は、それぞれ独立に、水素原子又は炭素数1~6のアルキル基を表す。
ZI
+
は、有機カチオンを表す。]
続きを表示(約 3,600 文字)
【請求項2】
X
1
が、単結合又は式(X
1
-1)~式(X
1
-10)のいずれかで表される基である請求項1に記載の酸発生剤。
TIFF
2025157185000186.tif
44
170
[式(X
1
-1)~式(X
1
-10)中、
*、**は結合部位であり、*はR
0
が結合した炭素原子との結合部位を表す。
Rxは、ハロゲン原子、ヒドロキシ基、炭素数1~6のフッ化アルキル基、炭素数1~18のアルキル基又は炭素数1~6のアルコキシ基を表す。
mxは、0~4のいずれかの整数を表す。mxが2以上の整数の場合、複数のRxは互いに同じでも異なっていてもよい。
X
20
は、-O-又は-NR
5
-を表す。
R
5
は、水素原子又は炭素数1~6のアルキル基を表す。]
【請求項3】
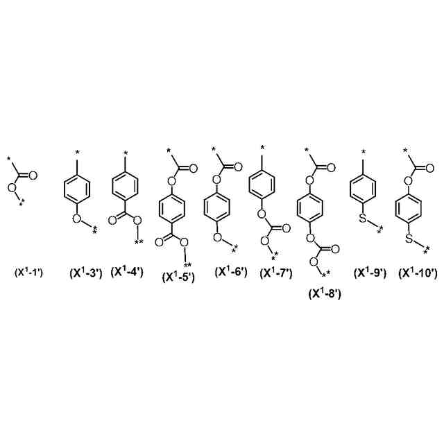
X
1
が、単結合又は式(X
1
-1’)及び式(X
1
-3’)~式(X
1
-10’) のいずれかで表される基である請求項1に記載の酸発生剤。
TIFF
2025157185000187.tif
47
125
[式(X
1
-1’)及び式(X
1
-3’)~式(X
1
-10’)中、
*及び**は結合部位を表し、*は、R
0
と結合する炭素原子との結合部位を表す。]
【請求項4】
mm2が1であり、
W
1
が、フッ素原子、ヨウ素原子、ヒドロキシ基及び炭素数1~3のアルコキシ基から選択される少なくとも1種の置換基を有してもよい炭素数6~10の芳香族炭化水素基である請求項1に記載の酸発生剤。
【請求項5】
L
1
が、単結合、直鎖状の炭素数1~6のアルカンジイル基又は炭素数1~4のアルカンジイル基と炭素数6~10の芳香族炭化水素基とを組み合わせた基(該アルカンジイル基に含まれる-CH
2
-は、-O-又は-CO-に置き換わっていてもよく、該芳香族炭化水素基は、フッ素原子、ヨウ素原子、ヒドロキシ基又は炭素数1~3のアルコキシ基を有してもよい。)であり、
L
3
が、単結合、メチレン基、*-CO-又は*-CO-O-(*は、R
3
が結合した窒素原子との結合部位を表す。)であり、
L
2
が、炭素数1~4のアルカンジイル基又は炭素数1~4のアルカンジイル基と炭素数6~10の芳香族炭化水素基とを組み合わせた基(該アルカンジイル基に含まれる-CH
2
-は、-O-又は-CO-に置き換わっていてもよく、該芳香族炭化水素基は、フッ素原子、ヨウ素原子、ヒドロキシ基又は炭素数1~3のアルコキシ基を有してもよい。)である請求項1に記載の酸発生剤。
【請求項6】
請求項1~5のいずれかに記載の酸発生剤を含有するレジスト組成物。
【請求項7】
酸発生剤が、式(I)で表される塩であり、
酸不安定基を有する構造単位(a1)を含む樹脂をさらに含有する請求項6に記載のレジスト組成物。
【請求項8】
酸発生剤が、式(IP)で表される構造単位を含む樹脂であり、
該樹脂が、酸不安定基を有する構造単位(a1)をさらに含む請求項6に記載のレジスト組成物。
【請求項9】
式(I)で表される塩をさらに含有する請求項8に記載のレジスト組成物。
【請求項10】
酸不安定基を有する構造単位(a1)が、式(a1-0)で表される構造単位、式(a1-1)で表される構造単位、式(a1-2)で表される構造単位、式(a1-4)で表される構造単位、式(a1-5)で表される構造単位及び式(a1-6)で表される構造単位からなる群より選ばれる少なくとも1種を含む請求項7に記載のレジスト組成物。
TIFF
2025157185000188.tif
47
153
[式(a1-0)、式(a1-1)及び式(a1-2)中、
L
a01
、L
a1
及びL
a2
は、それぞれ独立に、-O-又は*-O-(CH
2
)
k1
-CO-O-を表し、k1は1~7のいずれかの整数を表し、*は-CO-との結合部位を表す。
R
a01
、R
a4
及びR
a5
は、それぞれ独立に、水素原子、ハロゲン原子又はハロゲン原子を有していてもよい炭素数1~6のアルキル基を表す。
R
a02
、R
a03
及びR
a04
は、それぞれ独立に、炭素数1~8のアルキル基、炭素数3~18の脂環式炭化水素基、炭素数6~18の芳香族炭化水素基又はこれらを組み合わせた基を表し、該アルキル基、該脂環式炭化水素基及び該芳香族炭化水素基は、ハロゲン原子を有してもよい。
R
a6
及びR
a7
は、それぞれ独立に、炭素数1~8のアルキル基、炭素数2~8のアルケニル基、炭素数3~18の脂環式炭化水素基、炭素数6~18の芳香族炭化水素基又はこれらを組合せることにより形成される基を表し、該アルキル基、該アルケニル基、該脂環式炭化水素基及び該芳香族炭化水素基は、ハロゲン原子を有してもよい。
m1’は0~14のいずれかの整数を表す。
n1は0~10のいずれかの整数を表す。
n1’は0~3のいずれかの整数を表す。]
TIFF
2025157185000189.tif
32
119
[式(a1-4)中、
R
a1
は、水素原子、ハロゲン原子、又は、ハロゲン原子を有していてもよい炭素数1~6のアルキル基を表す。
R
a17
は、ハロゲン原子、ヒドロキシ基、カルボキシ基、ハロゲン原子を有していてもよい炭素数1~6のアルキル基、炭素数1~6のアルコキシ基、炭素数2~12のアルコキシアルキル基、炭素数2~12のアルコキシアルコキシ基、炭素数2~4のアルキルカルボニル基、炭素数2~4のアルキルカルボニルオキシ基、アクリロイルオキシ基又はメタクリロイルオキシ基を表す。
A
a11
は、単結合又は炭素数1~12のアルカンジイル基を表し、該アルカンジイル基に含まれる-CH
2
-は、-O-、-CO-又は-NR
a18
-に置き換わってもよい。
R
a18
は、水素原子又は炭素数1~6のアルキル基を表す。
X
a1
は、単結合又はカルボニル基を表す。
R
a34
及びR
a35
は、それぞれ独立に、水素原子又は炭素数1~12の炭化水素基を表し、R
a36
は、炭素数1~20の炭化水素基を表すか、R
a35
及びR
a36
は互いに結合してそれらが結合する-C-O-とともに炭素数2~20の2価の炭化水素基を形成し、該炭化水素基及び該2価の炭化水素基に含まれる-CH
2
-は、-O-又は-S-で置き換わってもよい。
na1は、1~5のいずれかの整数を表し、na1が2以上のとき、複数の括弧内の基は、互いに同一であっても異なっていてもよい。
na11は、0~4のいずれかの整数を表し、na11が2以上のとき、複数のR
a17
は、互いに同一であっても異なっていてもよい。
mcは、0~2のいずれかの整数を表す。]
TIFF
2025157185000190.tif
45
58
[式(a1-5)中、
R
a8
は、ハロゲン原子を有していてもよい炭素数1~6のアルキル基、水素原子又はハロゲン原子を表す。
(【請求項11】以降は省略されています)
発明の詳細な説明
【技術分野】
【0001】
本発明は、半導体の微細加工に用いられる酸発生剤用の塩、該塩を含む酸発生剤、樹脂、レジスト組成物及びレジストパターンの製造方法に関する。
続きを表示(約 4,700 文字)
【背景技術】
【0002】
特許文献1には、下記式で表される塩に由来する構造単位を含む樹脂及び該樹脂を含有するレジスト組成物が記載されている。
TIFF
2025157185000001.tif
29
64
【先行技術文献】
【特許文献】
【0003】
特開2018-197853号公報
【発明の概要】
【発明が解決しようとする課題】
【0004】
本発明は、上記のレジスト組成物から形成されたレジストパターンよりも、良好なラインエッジラフネス(LER)でレジストパターンを製造することができる塩を提供する。
【課題を解決するための手段】
【0005】
本発明は、以下の発明を含む。
[1]式(I)で表される塩又は式(IP)で表される構造単位を含有する酸発生剤。
TIFF
2025157185000002.tif
70
155
[式(I)及び式(IP)中、
Q
1
、Q
2
、R
1
及びR
2
は、それぞれ独立に、水素原子、フッ素原子、炭素数1~6のペルフルオロアルキル基又は炭素数1~6のアルキル基を表す。
zは、0~6のいずれかの整数を表し、zが2以上のとき、複数のR
1
及びR
2
は互いに同一であっても異なってもよい。
X
2
は、単結合、又は、-O-、-CO-、-S-、-SO-、-SO
2
-、-NR
5
-もしくはこれらを組み合わせて形成される基を表す。
mm1は、0又は1を表す。
W
1
は、置換基を有してもよい炭素数3~36の環状炭化水素基を表し、該環状炭化水素基に含まれる-CH
2
-は、-O-、-S-、-CO-、-SO-、-NR
7
-又は-SO
2
-に置き換わっていてもよい。
mm2は、0又は1を表す。
L
1
及びL
2
は、それぞれ独立に、単結合又は置換基を有してもよい炭素数1~28の炭化水素基を表し、該炭化水素基に含まれる-CH
2
-は、-O-、-S-、-SO
2
-、-SO-、-NR
4
-又は-CO-に置き換わっていてもよい。
L
3
は、単結合又は炭素数1~6のアルカンジイル基を表し、該アルカンジイル基に含まれる-CH
2
-は、-O-又は-CO-に置き換わっていてもよい。
X
1
は、単結合、又は、-O-、-CO-、-S-、-SO-、-SO
2
-、-NR
5
-、置換基を有してもよいフェニレン基もしくはこれらを組み合わせた基を表す。
R
0
は、水素原子、ハロゲン原子又はハロゲン原子を有していてもよい炭素数1~6のアルキル基を表す。
R
3
、R
4
、R
5
及びR
7
は、それぞれ独立に、水素原子又は炭素数1~6のアルキル基を表す。
ZI
+
は、有機カチオンを表す。]
[2]X
1
が、単結合又は式(X
1
-1)~式(X
1
-10)のいずれかで表される基である[1]に記載の酸発生剤。
TIFF
2025157185000003.tif
44
170
[式(X
1
【発明の効果】
【0006】
本発明の塩を使用したレジスト組成物を用いることにより、良好なラインエッジラフネス(LER)でレジストパターンを製造することができる。
【発明を実施するための形態】
【0007】
本明細書において、「(メタ)アクリル系モノマー」とは、「アクリル系モノマー及びメタクリル系モノマーの少なくとも1種」を意味する。「(メタ)アクリレート」及び「(メタ)アクリル酸」等の記載も同様の意味を表す。本明細書中に記載する基において、直鎖構造と分岐構造の両方をとり得るものについては、そのいずれでもよい。炭化水素基等に含まれる-CH
2
-が-O-、-S-、-CO-、-SO-、-NR
X
-(Xは任意の符号)又は-SO
2
-で置き換わる場合、各基において同様の例を適用するものとし、置き換わる前の炭素数を炭化水素基等の炭素数とする。「組み合わせた基」とは、例示した基を2種以上結合させた基を意味し、それら基の価数は結合形態によって適宜変更してもよい。「由来する」又は「誘導される」とは、その分子中に含まれる重合性C=C結合が重合により-C-C-基(単結合)となることを指す。立体異性体が存在する場合は、全ての立体異性体を含む。各基は、置換基の数等によって、その基に含まれる任意の位置及び数の水素原子が結合手に置き換わることがある。置換基における炭素数は、被置換基の炭素数には含めない。「酸不安定基」とは、酸(例えば、トリフルオロメタンスルホン酸等)と接触すると、脱離基が脱離して、親水性基(例えば、ヒドロキシ基又はカルボキシ基等)を形成する基を意味する。「塩基不安定基」とは、塩基(例えば、トリメチルアミン、テトラメチルアンモニウムヒドロキシド等)と接触すると、脱離基が脱離して、親水性基(例えば、カルボキシ基又はヒドロキシ基等)を形成する基を意味する。
本明細書において、「レジスト組成物の固形分」とは、レジスト組成物の総量から、後述する溶剤(E)を除いた成分の合計を意味する。
【0008】
〔式(I)で表される塩〕
本発明は、式(I)で表される塩(以下「塩(I)」という場合がある)に関する。
塩(I)のうち、負電荷を有する側を「アニオン(I)」、正電荷を有する側を「カチオン(I)」と称することがある。
【0009】
(アニオン(I))
式(I)において、Q
1
、Q
2
、R
1
及びR
2
のペルフルオロアルキル基としては、トリフルオロメチル基、ペルフルオロエチル基、ペルフルオロプロピル基、ペルフルオロイソプロピル基、ペルフルオロブチル基、ペルフルオロsec-ブチル基、ペルフルオロtert-ブチル基、ペルフルオロペンチル基、ペルフルオロヘキシル基などが挙げられる。ペルフルオロアルキル基の炭素数は、好ましくは1~4であり、より好ましくは1~3である。
Q
1
、Q
2
、R
1
及びR
2
のアルキル基としては、メチル基、エチル基、プロピル基、イソプロピル基、ブチル基、sec-ブチル基、tert-ブチル基、ペンチル基、ヘキシル基等が挙げられる。アルキル基の炭素数は、好ましくは1~4であり、より好ましくは1~3である。
Q
1
及びQ
2
は、少なくとも一方に、フッ素原子又はペルフルオロアルキル基を含むことが好ましく、少なくとも一方が、フッ素原子又はペルフルオロアルキル基であることがより好ましく、それぞれ独立に、トリフルオロメチル基又はフッ素原子であることがさらに好ましく、ともにフッ素原子であることがさらにより好ましい。
R
1
及びR
2
は、それぞれ独立に、好ましくは水素原子、フッ素原子、メチル基又はトリフルオロメチル基であり、より好ましくは水素原子又はフッ素原子であり、さらに好ましくは水素原子である。
zは、0~4のいずれかの整数であることが好ましく、0~3のいずれかの整数であることがより好ましく、0~2のいずれかの整数であることがさらに好ましく、0又は1であることがさらにより好ましい。
X
2
は、-O-、-CO-、-NR
5
-又はこれらを組み合わせた基であることが好ましく、*-CO-O-、*-O-CO-、*-O-、*-O-CO-O-、-NR
5
-、*-CO-NR
5
-、*-NR
5
-CO-、*-NR
5
-CO-O-又は*-O-CO-NR
5
-であることがより好ましく、*-CO-O-又は*-O-CO-O-であることがさらに好ましく、*-CO-O-であることがさらにより好ましい(*はC(R
1
)(R
2
)又はC(Q
1
)(Q
2
)との結合部位を表す。)。
【0010】
W
1
の炭素数3~36の環状炭化水素基(以下、「環W
1
」と称する場合がある。)は、飽和及び不飽和のいずれでもよく、単環であってもよいし、多環であってもよく、多環の環状炭化水素基は、橋掛け環であってもよいし、スピロを形成していてもよい。環状炭化水素基としては、脂環式炭化水素基、芳香族炭化水素基又はこれらを組み合わせた基が挙げられる。該脂環式炭化水素基に含まれる炭素原子は、隣接する2つの炭素原子間で二重結合を形成していてもよい。該環状炭化水素基に含まれる-CH
2
-は、-O-、-S-、-CO-、-SO-、-NR
7
-又は-SO
2
-に置き換わっていてもよい。環状炭化水素基の炭素数は、好ましくは3~30であり、より好ましくは3~24であり、さらに好ましくは3~20である。
脂環式炭化水素基としては、以下の脂環式炭化水素基等が挙げられる。結合部位は任意の位置とすることができる。
JPEG
2025157185000010.jpg
41
165
具体的に、単環式の脂環式炭化水素基としては、シクロプロパンジイル基、シクロブタンジイル基、シクロペンタンジイル基、シクロヘキサンジイル基、シクロヘプタンジイル基、シクロオクタンジイル基、シクロデカンジイル基等の単環式シクロアルカンジイル基等が挙げられる。多環式の脂環式炭化水素基としては、デカヒドロナフタンジイル基、アダマンタンジイル基、ノルボルナンジイル基、ノルボルネンジイル基、ビシクロ[3.3.0]オクタンジイル基等の多環式シクロアルカンジイル基等が挙げられる。
また、脂環式炭化水素基に含まれる隣接する2つの炭素原子間で二重結合を形成している環状炭化水素基は、以下の環状炭化水素基が挙げられる。
TIFF
2025157185000011.tif
11
82
(【0011】以降は省略されています)
この特許をJ-PlatPat(特許庁公式サイト)で参照する
関連特許
住友化学株式会社
積層体
1か月前
住友化学株式会社
偏光板
1か月前
住友化学株式会社
偏光板
1か月前
住友化学株式会社
着色剤
1か月前
住友化学株式会社
化合物
1か月前
住友化学株式会社
偏光板
28日前
住友化学株式会社
発光素子
1か月前
住友化学株式会社
発光素子
1か月前
住友化学株式会社
発光素子
1か月前
住友化学株式会社
フィルター
1か月前
住友化学株式会社
フィルター
1か月前
住友化学株式会社
偏光積層体
1か月前
住友化学株式会社
光学積層体
1か月前
住友化学株式会社
垂直偏光板
28日前
住友化学株式会社
熱分解装置
2日前
住友化学株式会社
樹脂組成物
1か月前
住友化学株式会社
フィルター
1か月前
住友化学株式会社
電気化学センサ
15日前
住友化学株式会社
金属有機構造体
1か月前
住友化学株式会社
組成物及び発光素子
今日
住友化学株式会社
芳香族ポリスルホン
1か月前
住友化学株式会社
体液に由来する試料
1か月前
住友化学株式会社
プロピレンの製造方法
10日前
住友化学株式会社
積層体および表示装置
1か月前
住友化学株式会社
膜エレメントの製造方法
1か月前
住友化学株式会社
偏光板及び画像表示装置
1か月前
住友化学株式会社
光学積層体及び偏光積層体
1か月前
住友化学株式会社
ポリオレフィン樹脂組成物
2日前
住友化学株式会社
装置、方法及びプログラム
1か月前
住友化学株式会社
複合偏光板及び画像表示装置
1か月前
住友化学株式会社
光学積層体及びその製造方法
1か月前
住友化学株式会社
粘着剤組成物および粘着剤層
1か月前
住友化学株式会社
無機アルミニウム化合物粉末
15日前
住友化学株式会社
複合成形体、及びその製造方法
7日前
住友化学株式会社
位相差層積層体及び光学積層体
7日前
住友化学株式会社
リサイクル正極活物質の製造方法
1か月前
続きを見る
他の特許を見る