TOP
|
特許
|
意匠
|
商標
特許ウォッチ
Twitter
他の特許を見る
10個以上の画像は省略されています。
公開番号
2025157181
公報種別
公開特許公報(A)
公開日
2025-10-15
出願番号
2025060405
出願日
2025-04-01
発明の名称
レジスト組成物及びレジストパターンの製造方法並びに化合物及び樹脂
出願人
住友化学株式会社
代理人
弁理士法人新樹グローバル・アイピー
主分類
G03F
7/039 20060101AFI20251007BHJP(写真;映画;光波以外の波を使用する類似技術;電子写真;ホログラフイ)
要約
【課題】良好なラインエッジラフネスのレジストパターンを製造し得る化合物、樹脂、レジスト組成物等を提供する。
【解決手段】式(I)で表される化合物又は式(IP)で表される構造単位を含む樹脂を含有するレジスト組成物。
<com:Image com:imageContentCategory="Drawing"> <com:ImageFormatCategory>TIFF</com:ImageFormatCategory> <com:FileName>2025157181000186.tif</com:FileName> <com:HeightMeasure com:measureUnitCode="Mm">64</com:HeightMeasure> <com:WidthMeasure com:measureUnitCode="Mm">118</com:WidthMeasure> </com:Image>
【選択図】なし
特許請求の範囲
【請求項1】
式(I)で表される化合物又は式(IP)で表される構造単位を含む樹脂を含有するレジスト組成物。
TIFF
2025157181000174.tif
64
117
[式(I)又は式(IP)中、
W
1
は、置換基を有してもよい炭素数3~36の環状炭化水素基を表し、該環状炭化水素基に含まれる-CH
2
-は、-O-、-S-、-CO-、-SO-、-NR
7
-又は-SO
2
-に置き換わっていてもよい。
X
1
は、単結合、又は、-O-、-CO-、-S-、-SO-、-SO
2
-、-NR
4
-、置換基を有してもよいフェニレン基もしくはこれらを組み合わせた基を表す。
L
2
は、単結合又は置換基を有してもよい炭素数1~28の炭化水素基を表し、該炭化水素基に含まれる-CH
2
-は、-O-、-S-、-SO-、-SO
2
-、-NR
6
-又は-CO-に置き換わっていてもよい。
L
3
は、単結合又は炭素数1~6のアルカンジイル基を表し、該アルカンジイル基に含まれる-CH
2
-は、-O-又は-CO-に置き換わっていてもよい。
R
0
は、水素原子、ハロゲン原子又はハロゲン原子を有していてもよい炭素数1~6のアルキル基を表す。
R
1
、R
4
、R
6
及びR
7
は、水素原子又は炭素数1~6のアルキル基を表す。
R
3
は、ハロゲン原子、ヒドロキシ基、カルボキシ基、炭素数1~6のアルキル基、炭素数1~6のハロアルキル基、炭素数1~6のアルコキシ基、アクリロイルオキシ基又はメタクリロイルオキシ基を表す。
m1は、1~3のいずれかの整数を表し、m1が2以上のとき、複数の括弧内の基は、互いに同一でも異なっていてもよい。
m2は、0~5のいずれかの整数を表し、m2が2以上のとき、複数のR
3
は、互いに同一でも異なっていてもよい。]
続きを表示(約 4,300 文字)
【請求項2】
X
1
が、単結合又は式(X
1
-1)~式(X
1
-10)のいずれかで表される基である請求項1に記載のレジスト組成物。
TIFF
2025157181000175.tif
45
170
[式(X
1
-1)~式(X
1
-10)中、
*、**は結合部位であり、*はR
0
が結合した炭素原子との結合部位を表す。
Rxは、ハロゲン原子、ヒドロキシ基、炭素数1~6のフッ化アルキル基、炭素数1~18のアルキル基又は炭素数1~6のアルコキシ基を表す。
mxは、0~4のいずれかの整数を表す。
X
20
は、-O-又は-NR
4
-を表す。
R
4
は、水素原子又は炭素数1~6のアルキル基を表す。]
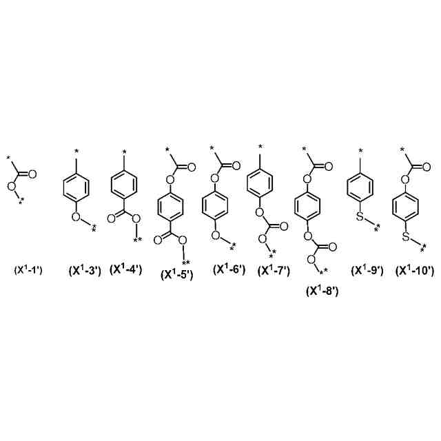
【請求項3】
X
1
が、単結合又は式(X
1
-1’)及び式(X
1
-3’)~式(X
1
-10’) のいずれかで表される基である請求項1又は2に記載のレジスト組成物。
TIFF
2025157181000176.tif
47
125
[式(X
1
-1’)及び式(X
1
-3’)~式(X
1
-10’)中、
*及び**は結合部位を表し、*は、R
0
と結合する炭素原子との結合部位を表す。]
【請求項4】
W
1
が、炭素数6~10の芳香族炭化水素基である請求項1又は2に記載のレジスト組成物。
【請求項5】
L
3
が、単結合、メチレン基、*-CO-又は*-CO-O-(*は、R
1
が結合した窒素原子との結合部位を表す。)であり、
L
2
が、炭素数1~4のアルカンジイル基又は炭素数1~4のアルカンジイル基と炭素数6~10の芳香族炭化水素基とを組み合わせた基(該アルカンジイル基に含まれる-CH
2
-は、-O-又は-CO-に置き換わっていてもよく、該芳香族炭化水素基は、フッ素原子、ヨウ素原子、ヒドロキシ基又は炭素数1~3のアルコキシ基を有してもよい。)である請求項1又は2に記載のレジスト組成物。
【請求項6】
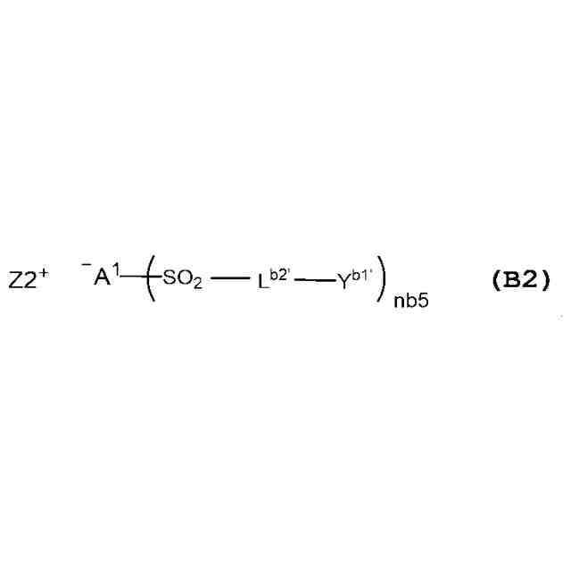
酸発生剤を含有し、酸発生剤が、式(B1)で表される塩又は式(B2)で表される塩を含む請求項1又は2に記載のレジスト組成物。
TIFF
2025157181000177.tif
13
96
[式(B1)中、
L
b1
は、単結合又は置換基を有してもよい(nb1+1)価の炭化水素基を表し、該炭化水素基に含まれる-CH
2
-は、-O-、-S-、-CO-又は-SO
2
-に置き換わっていてもよい。
L
b2
は、単結合又は置換基を有してもよい炭素数1~24の2価の炭化水素基を表し、該炭化水素基に含まれる-CH
2
-は、-O-、-S-、-CO-又は-SO
2
-で置き換わっていてもよい。
Y
b1
は、置換基を有していてもよいメチル基又は置換基を有していてもよい炭素数3~24の環状炭化水素基を表し、該環状炭化水素基に含まれる-CH
2
-は、-O-、-S-、-SO
2
-又は-CO-に置き換わっていてもよい。
nb1は、1~6のいずれかの整数を表す。nb1が2以上のとき、複数の括弧内の基は、互いに同一であっても異なっていてもよい。
Z1
+
は、有機カチオンを表す。]
TIFF
2025157181000178.tif
11
92
[式(B2)中、
A
1
は、窒素原子又は炭素原子を表す。
L
b2’
は、単結合又は置換基を有してもよい炭素数1~24の2価の炭化水素基を表し、該炭化水素基に含まれる-CH
2
-は、-O-、-S-、-CO-又は-SO
2
-で置き換わっていてもよい。
Y
b1’
は、置換基を有してもよいメチル基又は置換基を有してもよい炭素数3~24の環状炭化水素基を表し、該環状炭化水素基に含まれる-CH
2
-は、-O-、-S-、-CO-又は-SO
2
-で置き換わっていてもよい。
nb5は、2又は3の整数を表す。A
1
が窒素原子の場合、nb5が2であり、A
1
が炭素原子の場合、nb5が3である。複数の括弧内の基は、互いに同一であっても異なっていてもよく、2つの括弧内の基が結合してA
1
を含む環を形成してもよい。
Z2
+
は、有機カチオンを表す。]
【請求項7】
式(I)で表される化合物を含有する請求項1又は2に記載のレジスト組成物。
【請求項8】
式(IP)で表される構造単位を含む樹脂を含有する請求項1又は2に記載のレジスト組成物。
【請求項9】
式(IP)で表される構造単位と酸不安定基を有する構造単位とを含む樹脂を含有する請求項1又は2に記載のレジスト組成物。
【請求項10】
酸不安定基を有する構造単位を含む樹脂を含有し、
前記酸不安定基を有する構造単位が、式(a1-0)で表される構造単位、式(a1-1)で表される構造単位、式(a1-2)で表される構造単位、式(a1-4)で表される構造単位、式(a1-5)で表される構造単位及び式(a1-6)で表される構造単位からなる群より選ばれる少なくとも1種を含む請求項1又は2に記載のレジスト組成物。
TIFF
2025157181000179.tif
43
145
[式(a1-0)、式(a1-1)及び式(a1-2)中、
L
a01
、L
a1
及びL
a2
は、それぞれ独立に、-O-又は*-O-(CH
2
)
k1
-CO-O-を表し、k1は1~7のいずれかの整数を表し、*は-CO-との結合部位を表す。
R
a01
、R
a4
及びR
a5
は、それぞれ独立に、水素原子、ハロゲン原子又はハロゲン原子を有していてもよい炭素数1~6のアルキル基を表す。
R
a02
、R
a03
及びR
a04
は、それぞれ独立に、炭素数1~8のアルキル基、炭素数3~18の脂環式炭化水素基、炭素数6~18の芳香族炭化水素基又はこれらを組み合わせた基を表し、該アルキル基、該脂環式炭化水素基及び該芳香族炭化水素基は、ハロゲン原子を有してもよい。
R
a6
及びR
a7
は、それぞれ独立に、炭素数1~8のアルキル基、炭素数2~8のアルケニル基、炭素数3~18の脂環式炭化水素基、炭素数6~18の芳香族炭化水素基又はこれらを組合せることにより形成される基を表し、該アルキル基、該アルケニル基、該脂環式炭化水素基及び該芳香族炭化水素基は、ハロゲン原子を有してもよい。
m1’は0~14のいずれかの整数を表す。
n1は0~10のいずれかの整数を表す。
n1’は0~3のいずれかの整数を表す。]
TIFF
2025157181000180.tif
32
119
[式(a1-4)中、
R
a1
は、水素原子、ハロゲン原子、又は、ハロゲン原子を有していてもよい炭素数1~6のアルキル基を表す。
R
a17
は、ハロゲン原子、ヒドロキシ基、カルボキシ基、ハロゲン原子を有していてもよい炭素数1~6のアルキル基、炭素数1~6のアルコキシ基、炭素数2~12のアルコキシアルキル基、炭素数2~12のアルコキシアルコキシ基、炭素数2~4のアルキルカルボニル基、炭素数2~4のアルキルカルボニルオキシ基、アクリロイルオキシ基又はメタクリロイルオキシ基を表す。
A
a11
は、単結合又は炭素数1~12のアルカンジイル基を表し、該アルカンジイル基に含まれる-CH
2
-は、-O-、-CO-又は-NR
a18
-に置き換わってもよい。
R
a18
は、水素原子又は炭素数1~6のアルキル基を表す。
X
a1
は、単結合又はカルボニル基を表す。
R
a34
及びR
a35
は、それぞれ独立に、水素原子又は炭素数1~12の炭化水素基を表し、R
a36
は、炭素数1~20の炭化水素基を表すか、R
a35
及びR
a36
は互いに結合してそれらが結合する-C-O-とともに炭素数2~20の2価の炭化水素基を形成し、該炭化水素基及び該2価の炭化水素基に含まれる-CH
2
-は、-O-又は-S-で置き換わってもよい。
na1は、1~5のいずれかの整数を表し、na1が2以上のとき、複数の括弧内の基は、互いに同一であっても異なっていてもよい。
na11は、0~4のいずれかの整数を表し、na11が2以上のとき、複数のR
a17
は、互いに同一であっても異なっていてもよい。
mcは、0~2のいずれかの整数を表す。]
TIFF
2025157181000181.tif
45
58
[式(a1-5)中、
R
(【請求項11】以降は省略されています)
発明の詳細な説明
【技術分野】
【0001】
本発明は、化合物、該化合物に由来する構造単位を含む樹脂、該樹脂を含むレジスト組成物及び該レジスト組成物を用いるレジストパターンの製造方法等に関する。
続きを表示(約 4,500 文字)
【背景技術】
【0002】
特許文献1には、下記構造式の化合物に由来する構造単位を含む樹脂を含有するレジスト組成物が記載されている。
TIFF
2025157181000001.tif
23
47
特許文献2には、下記構造式の化合物に由来する構造単位を含む樹脂が記載されている。
TIFF
2025157181000002.tif
19
38
【先行技術文献】
【特許文献】
【0003】
特開2012-048067号公報
特開昭60-138542号公報
【発明の概要】
【発明が解決しようとする課題】
【0004】
上記化合物及び/又は上記化合物に由来する構造単位を含む樹脂を含有するレジスト組成物から形成されたレジストパターンよりも、ラインエッジラフネス(LER)が良好なレジストパターンを形成するレジスト組成物を提供することを課題とする。
【課題を解決するための手段】
【0005】
本発明は、以下の発明を含む。
〔1〕式(I)で表される化合物又は式(IP)で表される構造単位を含む樹脂を含有するレジスト組成物。
TIFF
2025157181000003.tif
64
117
[式(I)又は式(IP)中、
W
1
は、置換基を有してもよい炭素数3~36の環状炭化水素基を表し、該環状炭化水素基に含まれる-CH
2
-は、-O-、-S-、-CO-、-SO-、-NR
7
-又は-SO
2
-に置き換わっていてもよい。
X
1
は、単結合、又は、-O-、-CO-、-S-、-SO-、-SO
2
-、-NR
4
-、置換基を有してもよいフェニレン基もしくはこれらを組み合わせた基を表す。
L
2
は、単結合又は置換基を有してもよい炭素数1~28の炭化水素基を表し、該炭化水素基に含まれる-CH
2
-は、-O-、-S-、-SO-、-SO
2
-、-NR
6
-又は-CO-に置き換わっていてもよい。
L
3
は、単結合又は炭素数1~6のアルカンジイル基を表し、該アルカンジイル基に含まれる-CH
2
-は、-O-又は-CO-に置き換わっていてもよい。
R
0
は、水素原子、ハロゲン原子又はハロゲン原子を有していてもよい炭素数1~6のアルキル基を表す。
R
1
、R
4
、R
6
及びR
7
は、水素原子又は炭素数1~6のアルキル基を表す。
R
3
は、ハロゲン原子、ヒドロキシ基、カルボキシ基、炭素数1~6のアルキル基、炭素数1~6のハロアルキル基、炭素数1~6のアルコキシ基、アクリロイルオキシ基又はメタクリロイルオキシ基を表す。
m1は、1~3のいずれかの整数を表し、m1が2以上のとき、複数の括弧内の基は、互いに同一でも異なっていてもよい。
m2は、0~5のいずれかの整数を表し、m2が2以上のとき、複数のR
3
は、互いに同一でも異なっていてもよい。]
〔2〕X
1
が、単結合又は式(X
1
-1)~式(X
1
-10)のいずれかで表される基である〔1〕に記載のレジスト組成物。
TIFF
2025157181000004.tif
45
170
[式(X
1
-1)~式(X
1
-10)中、
*、**は結合部位であり、*はR
0
が結合した炭素原子との結合部位を表す。
Rxは、ハロゲン原子、ヒドロキシ基、炭素数1~6のフッ化アルキル基、炭素数1~18のアルキル基又は炭素数1~6のアルコキシ基を表す。
mxは、0~4のいずれかの整数を表す。
X
20
は、-O-又は-NR
4
-を表す。
R
4
は、水素原子又は炭素数1~6のアルキル基を表す。]
〔3〕X
1
【発明の効果】
【0006】
本発明のレジスト組成物を用いることにより、良好なラインエッジラフネス(LER)でレジストパターンを製造することができる。
【発明を実施するための形態】
【0007】
本明細書において、「(メタ)アクリル系モノマー」とは、「アクリル系モノマー及びメタクリル系モノマーの少なくとも1種」を意味する。「(メタ)アクリレート」及び「(メタ)アクリル酸」等の記載も同様の意味を表す。本明細書中に記載する基において、直鎖構造と分岐構造の両方をとり得るものについては、そのいずれでもよい。炭化水素基等に含まれる-CH
2
-が-O-、-S-、-CO-、-SO-、-NR
X
-(Xは任意の符号)又は-SO
2
-で置き換わる場合、各基において同様の例を適用するものとし、置き換わる前の炭素数を炭化水素基等の炭素数とする。「組み合わせた基」とは、例示した基を2種以上結合させた基を意味し、それら基の価数は結合形態によって適宜変更してもよい。「由来する」又は「誘導される」とは、その分子中に含まれる重合性C=C結合が重合により-C-C-基(単結合)となることを指す。立体異性体が存在する場合は、全ての立体異性体を含む。各基は、置換基の数等によって、その基に含まれる任意の位置及び数の水素原子が結合手に置き換わることがある。置換基における炭素数は、被置換基の炭素数には含めない。「酸不安定基」とは、酸(例えば、トリフルオロメタンスルホン酸等)と接触すると、脱離基が脱離して、親水性基(例えば、ヒドロキシ基又はカルボキシ基等)を形成する基を意味する。「塩基不安定基」とは、塩基(例えば、トリメチルアミン、テトラメチルアンモニウムヒドロキシド等)と接触すると、脱離基が脱離して、親水性基(例えば、カルボキシ基又はヒドロキシ基等)を形成する基を意味する。
本明細書において、「レジスト組成物の固形分」とは、レジスト組成物の総量から、後述する溶剤(E)を除いた成分の合計を意味する。
【0008】
〔レジスト組成物〕
本発明のレジスト組成物は、式(I)で表される化合物(以下「化合物(I)」という場合がある)又は式(IP)で表される構造単位(以下「構造単位(IP)」という場合がある)を含む樹脂を含有する。
本発明のレジスト組成物は、さらに、酸発生剤(以下、「酸発生剤(B)」という場合がある)、樹脂、酸発生剤から発生する酸よりも酸性度の弱い酸を発生する塩等のクエンチャー(以下「クエンチャー(C)」という場合がある)等を含有していてもよい。樹脂としては、酸不安定基を有する構造単位を含む樹脂(以下「樹脂(A)」という場合がある)及び/又は樹脂(A)以外の樹脂が挙げられる。ここでの「酸不安定基」は、脱離基を有し、酸との接触により脱離基が脱離して、親水性基(例えば、ヒドロキシ基又はカルボキシ基)を形成する基を意味する。
本発明のレジスト組成物は、溶剤(以下「溶剤(E)」という場合がある)を含有することが好ましい。
【0009】
〈化合物(I)〉
本発明のレジスト組成物の一態様は、化合物(I)を含有する。
TIFF
2025157181000013.tif
29
114
[式(I)中、全ての符号は、それぞれ前記と同じ意味を表す。]
【0010】
式(I)において、W
1
の炭素数3~36の環状炭化水素基(以下、「環W
1
」と称する場合がある。)は、飽和及び不飽和のいずれでもよく、単環であってもよいし、多環であってもよく、多環の環状炭化水素基は、橋掛け環であってもよいし、スピロを形成していてもよい。環状炭化水素基としては、脂環式炭化水素基、芳香族炭化水素基又はこれらを組み合わせた基が挙げられる。該脂環式炭化水素基に含まれる炭素原子は、隣接する2つの炭素原子間で二重結合を形成していてもよい。該環状炭化水素基に含まれる-CH
2
-は、-O-、-S-、-CO-、-SO-、-NR
7
-又は-SO
2
-に置き換わっていてもよい。W
1
の環状炭化水素基は、(m1+m2)価の環状炭化水素基であり、m1及びm2に応じて、1価以上の環状炭化水素基となり得る。環状炭化水素基の炭素数は、好ましくは3~30であり、より好ましくは3~24であり、さらに好ましくは3~20である。
脂環式炭化水素基としては、以下の脂環式炭化水素基等が挙げられる。結合部位は任意の位置とすることができる。
TIFF
2025157181000014.tif
42
168
具体的に、単環式の脂環式炭化水素基としては、シクロプロピル基、シクロブチル基、シクロペンチル基、シクロヘキシル基、シクロヘプチル基、シクロオクチル基、シクロノニル基、シクロデシル基、シクロドデシル基等の単環式シクロアルキル基、シクロプロパンジイル基、シクロブタンジイル基、シクロペンタンジイル基、シクロヘキサンジイル基、シクロヘプタンジイル基、シクロオクタンジイル基、シクロデカンジイル基等の単環式シクロアルカンジイル基等が挙げられる。多環式の脂環式炭化水素基としては、デカヒドロナフチル基、アダマンチル基、ノルボルニル基等の多環式シクロアルキル基、デカヒドロナフタンジイル基、アダマンタンジイル基、ノルボルナンジイル基、ノルボルネンジイル基、ビシクロ[3.3.0]オクタンジイル基等の多環式シクロアルカンジイル基等が挙げられる。
また、脂環式炭化水素基に含まれる隣接する2つの炭素原子間で二重結合を形成している環状炭化水素基は、以下の環状炭化水素基が挙げられる。
TIFF
2025157181000015.tif
11
82
(【0011】以降は省略されています)
この特許をJ-PlatPat(特許庁公式サイト)で参照する
関連特許
住友化学株式会社
偏光板
2か月前
住友化学株式会社
着色剤
1か月前
住友化学株式会社
化合物
1か月前
住友化学株式会社
積層体
1か月前
住友化学株式会社
偏光板
2か月前
住友化学株式会社
偏光板
1か月前
住友化学株式会社
偏光板
28日前
住友化学株式会社
偏光板
1か月前
住友化学株式会社
発光素子
1か月前
住友化学株式会社
発光素子
1か月前
住友化学株式会社
発光素子
1か月前
住友化学株式会社
樹脂組成物
1か月前
住友化学株式会社
フィルター
1か月前
住友化学株式会社
フィルター
1か月前
住友化学株式会社
光学積層体
1か月前
住友化学株式会社
垂直偏光板
28日前
住友化学株式会社
偏光積層体
1か月前
住友化学株式会社
フィルター
1か月前
住友化学株式会社
熱分解装置
2日前
住友化学株式会社
金属有機構造体
1か月前
住友化学株式会社
電気化学センサ
15日前
住友化学株式会社
組成物及び発光素子
今日
住友化学株式会社
体液に由来する試料
1か月前
住友化学株式会社
芳香族ポリスルホン
1か月前
住友化学株式会社
プロピレンの製造方法
10日前
住友化学株式会社
積層体および表示装置
1か月前
住友化学株式会社
成形原料及びフィルム
2か月前
住友化学株式会社
膜エレメントの製造方法
1か月前
住友化学株式会社
偏光板及び画像表示装置
1か月前
住友化学株式会社
ポリオレフィン樹脂組成物
2日前
住友化学株式会社
光学積層体及び偏光積層体
1か月前
住友化学株式会社
装置、方法及びプログラム
1か月前
住友化学株式会社
無機アルミニウム化合物粉末
15日前
住友化学株式会社
粘着剤組成物および粘着剤層
1か月前
住友化学株式会社
積層体の製造方法及び積層体
2か月前
住友化学株式会社
複合偏光板及び画像表示装置
1か月前
続きを見る
他の特許を見る