TOP
|
特許
|
意匠
|
商標
特許ウォッチ
Twitter
他の特許を見る
10個以上の画像は省略されています。
公開番号
2025155666
公報種別
公開特許公報(A)
公開日
2025-10-14
出願番号
2024191128
出願日
2024-10-30
発明の名称
超音波風速計
出願人
ミツミ電機株式会社
代理人
弁理士法人ITOH
主分類
G01P
5/24 20060101AFI20251002BHJP(測定;試験)
要約
【課題】小型化及び低コスト化を図り、超音波を複数回反射させて受信する超音波風速計を提供すること。
【解決手段】超音波風速計100は、第1方向及び第1方向に交差する第2方向に沿う第1平面12を有する天板11と、天板11に搭載され、第1方向において第1平面12の両側に配置された第1超音波発振器31及び第2超音波発振器32と、第1方向及び第2方向と交差する第3方向において、第1平面12と対向して配置され、第1平面12との距離が第1距離であり、第1平面12と平行な第2平面22を有し、第3方向における第1超音波発振器31との距離が第1距離よりも長い第2距離である第3面23を有する反射板と、を備える。
【選択図】図2
特許請求の範囲
【請求項1】
第1方向及び前記第1方向に交差する第2方向に沿う第1平面を有する天板と、
前記天板に搭載され、前記第1方向において前記第1平面に所定の距離を離して配置された第1超音波発振器及び第2超音波発振器と、
前記第1方向及び前記第2方向と交差する第3方向において、前記第1平面と対向して配置され、前記第1平面との距離が第1距離であり、前記第1平面と平行な第2平面を有し、前記第3方向において、第1超音波発振器と重なる位置を含み前記第3方向における前記第1超音波発振器との距離が前記第1距離よりも長い第2距離である第3面を有する反射板と、を備える超音波風速計。
続きを表示(約 1,700 文字)
【請求項2】
前記第3面は、前記第3方向において、前記第1超音波発振器及び第2超音波発振器と対向して配置され、前記第2平面に対して傾斜する斜面を含み、
前記斜面は、前記第2平面とは反対側を向くように傾斜する請求項1に記載の超音波風速計。
【請求項3】
前記天板に搭載され、前記第2方向において前記第1平面の両側に配置された第3超音波発振器及び第4超音波発振器を更に備え、
前記第1超音波発振器、前記第2超音波発振器、前記第3超音波発振器、及び、前記第3超音波発振器は、前記第3方向に見て、正方形の頂点に対応する位置に配置され、
前記第2平面は、前記第3方向に見て、円形を成す請求項1又は2に記載の超音波風速計。
【請求項4】
前記天板に搭載され、前記第2方向において前記第1平面の両側に配置された第3超音波発振器及び第4超音波発振器を更に備え、
前記第1超音波発振器、前記第2超音波発振器、前記第3超音波発振器、及び、前記第3超音波発振器は、前記第3方向に見て、正方形の頂点に対応する位置に配置され、
前記第2平面は、前記第3方向に見て、十字形状を成す請求項1に記載の超音波風速計。
【請求項5】
前記天板に搭載され、前記第2方向において前記第1平面の両側に配置された第3超音波発振器及び第4超音波発振器を更に備え、
前記第1超音波発振器、前記第2超音波発振器、前記第3超音波発振器、及び、前記第3超音波発振器は、前記第3方向に見て、正方形の頂点に対応する位置に配置され、
前記第2平面は、前記第3方向に見て、十字形状を成し、当該十字形状の先端部は円弧状を成している請求項1に記載の超音波風速計。
【請求項6】
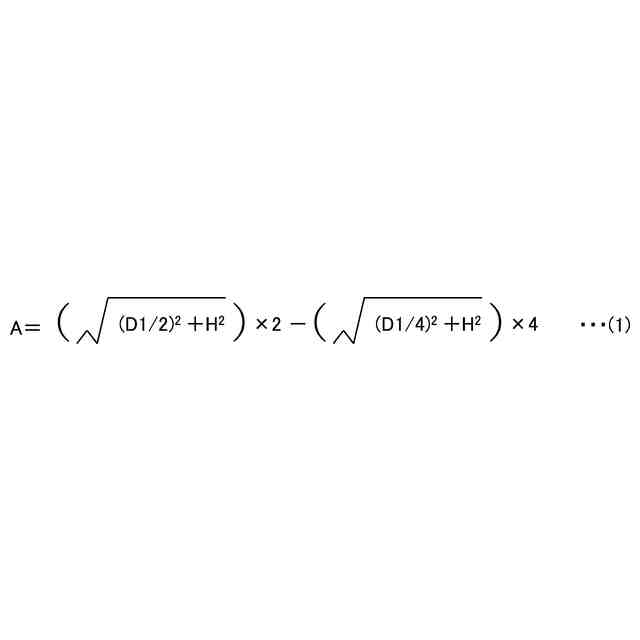
前記第1距離をHとし、
前記第1超音波発振器と前記第2超音波発振器との距離をD1とし、
前記第1超音波発振器及び前記第2超音波発振器から送信される超音波の1周期をLとした場合に、下記式(1),(2)を満たす、
TIFF
2025155666000008.tif
32
169
TIFF
2025155666000009.tif
25
169
請求項1又は2に記載の超音波風速計。
【請求項7】
前記天板に搭載され、前記第2方向において前記第1平面の両側に配置された第3超音波発振器及び第4超音波発振器を更に備え、
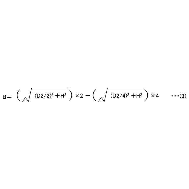
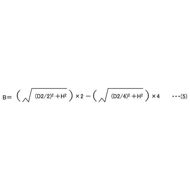
前記第1超音波発振器と前記第3超音波発振器との距離をD2とした場合に、下記式(3),(4)を満たす、
TIFF
2025155666000010.tif
32
169
TIFF
2025155666000011.tif
25
169
請求項6に記載の超音波風速計。
【請求項8】
前記第3方向において、前記第1超音波発振器及び前記第2超音波発振器の直下に、前記第2平面の少なくとも一部が配置されている請求項1に記載の超音波風速計。
【請求項9】
十字形状の前記第2平面は、
中央部に配置された矩形状の第1領域と、
前記第1領域の各辺から張り出す複数の第2領域と、を含み、
前記第3方向において、前記第1超音波発振器、前記第2超音波発振器、前記第3超音波発振器、及び、前記第4超音波発振器の直下に、前記第2領域の少なくとも一部が配置されている請求項4又は5に記載の超音波風速計。
【請求項10】
前記反射板は、前記第2平面の周囲に形成され、前記第2平面に対して傾斜する第1斜面を有し、
前記第3面は、前記第1斜面の外側に形成され、前記第2平面に対して、前記第1斜面と異なる角度で傾斜する第2斜面を含み、
前記第1斜面及び前記第2斜面は、前記第2平面と反対側を向くように傾斜し、
前記第1斜面には、超音波の反射を抑制する反射防止加工が施されている請求項9に記載の超音波風速計。
発明の詳細な説明
【技術分野】
【0001】
本開示は、超音波風速計に関する。
続きを表示(約 1,900 文字)
【背景技術】
【0002】
例えば、一対の超音波送受信部の間で送受される超音波の伝搬時間に基づいて被測定流体の風向と風速を計測する風向風速計測装置が知られている(例えば、特許文献1参照)。この風向風速計測装置は、被測定流体が流れる流路が形成された筐体と、流路に対して所定の傾きをもって設置される一対の超音波送受信部とを備える。
【先行技術文献】
【特許文献】
【0003】
特開2014-77643号公報
【発明の概要】
【発明が解決しようとする課題】
【0004】
従来技術において風向精度の向上について課題がある。超音波を複数回反射させて受信することを前提とした超音波風速計については、技術的な難易度が高い。このような超音波風速計において、小型化及び低コスト化が求められている。
【0005】
本開示は、小型化及び低コスト化を図り、超音波を複数回反射させて受信する超音波風速計を提供することを目的とする。
【課題を解決するための手段】
【0006】
本開示に係る超音波風速計は、第1方向及び第1方向に交差する第2方向に沿う第1平面を有する天板と、天板に搭載され、第1方向において第1平面に所定の距離を離して配置された第1超音波発振器及び第2超音波発振器と、第1方向及び第2方向と交差する第3方向において、第1平面と対向して配置され、第1平面との距離が第1距離であり、第1平面と平行な第2平面を有し、第3方向における第1超音波発振器及び第2超音波発振器との距離が第1距離よりも長い第2距離である第3面を有する反射板と、を備える。
【発明の効果】
【0007】
本開示は、小型化及び低コスト化を図り、超音波を複数回反射させて受信する超音波風速計を提供することができる。
【図面の簡単な説明】
【0008】
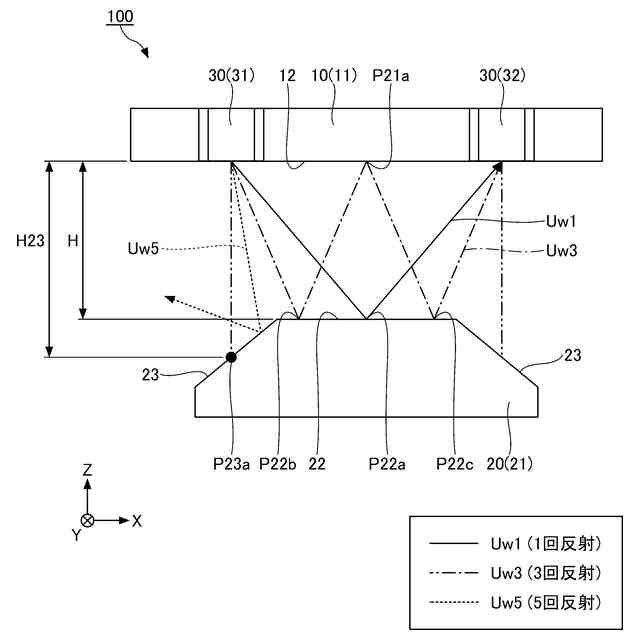
第1実施形態に係る超音波風速計を例示する概略斜視図である。
第1実施形態に係る超音波風速計を例示する概略断面図である。
反射板及び超音波発振器の配置の一例を示す平面図である。
複数の超音波発振器の間の距離の一例を示す概略図である。
第2実施形態に係る超音波風速計の反射板及び超音波発振器の配置の一例を示す平面図である。
第3実施形態に係る超音波風速計の反射板及び超音波発振器の配置の一例を示す平面図である。
比較例に係る超音波風速計を例示する概略断面図である。
第4実施形態に係る超音波風速計の反射板及び超音波発振器の配置の一例を示す平面図である。
第5実施形態に係る超音波風速計の反射板及び超音波発振器の配置の一例を示す平面図である。
【発明を実施するための形態】
【0009】
以下、実施形態に係る超音波風速計について、添付の図面を参照しながら説明する。尚、本明細書及び図面において、実質的に同一の構成要素については、同一の符号を付することにより重複した説明を省く場合がある。また、本明細書において、「上」及び「下」との用語を使用する場合がある。これは、図2に示されている状態における「上」及び「下」であり、Z軸方向において、天板11が配置されている方を「上」とし、反射板21が配置されている方を「下」とする。実際の超音波風速計100の配置はこれに限定されない。また、本明細書では「超音波発振器」としているが、超音波を発振する機能だけではなく超音波受信器としての機能も有している。
【0010】
[第1実施形態に係る超音波風速計100]
図1は、第1実施形態に係る超音波風速計100を例示する概略斜視図である。図2は、第1実施形態に係る超音波風速計100を例示する概略断面図である。図3は、反射板21及び超音波発振器31~34の配置の一例を示す平面図である。図4は、複数の超音波発振器31~34の間の距離Vx,Vy,Va,Vc,Vdの一例を示す概略図である。なお、各図において、互いに直交するX軸方向、Y軸方向、及びZ軸方向を図示する場合がある。X軸方向、Y軸方向、及びZ軸方向は、直交していなくてもよい。X軸方向、Y軸方向、及びZ軸方向は任意の方向でもよい。X軸方向は、第1方向の一例である。Y軸方向は、第1方向と交差する第2方向の一例である。Z軸方向は、第1方向及び第2方向に交差する第3方向の一例である。
(【0011】以降は省略されています)
この特許をJ-PlatPat(特許庁公式サイト)で参照する
関連特許
ミツミ電機株式会社
多方向入力装置
11日前
ミツミ電機株式会社
多方向入力装置
11日前
ミツミ電機株式会社
多方向入力装置
11日前
ミツミ電機株式会社
半導体装置の製造方法
17日前
ミツミ電機株式会社
圧力検出素子及び圧力センサ
10日前
ミツミ電機株式会社
駆動装置、カメラモジュールおよびカメラ搭載装置
1か月前
ミツミ電機株式会社
羽根駆動装置、カメラモジュール及びカメラ搭載装置
18日前
ミツミ電機株式会社
モーター、羽根駆動装置、カメラモジュール及びカメラ搭載装置
18日前
個人
視触覚センサ
2日前
個人
採尿及び採便具
1か月前
日本精機株式会社
検出装置
1か月前
個人
計量機能付き容器
27日前
株式会社カクマル
境界杭
17日前
日本精機株式会社
発光表示装置
10日前
甲神電機株式会社
電流検出装置
1か月前
ユニパルス株式会社
トルク変換器
2日前
ユニパルス株式会社
トルク変換器
2日前
ユニパルス株式会社
トルク変換器
2日前
株式会社トプコン
測量装置
9日前
大成建設株式会社
風洞実験装置
27日前
日本特殊陶業株式会社
ガスセンサ
25日前
日本信号株式会社
距離画像センサ
1か月前
個人
計量具及び計量機能付き容器
27日前
日本特殊陶業株式会社
ガスセンサ
2日前
双庸電子株式会社
誤配線検査装置
1か月前
日本特殊陶業株式会社
ガスセンサ
9日前
個人
非接触による電磁パルスの測定方法
1か月前
日本特殊陶業株式会社
ガスセンサ
3日前
個人
液位検視及び品質監視システム
25日前
日置電機株式会社
絶縁抵抗測定装置
2日前
日本特殊陶業株式会社
センサ
11日前
キーコム株式会社
画像作成システム
17日前
株式会社タイガーカワシマ
揚穀装置
9日前
日東精工株式会社
振動波形検査装置
1か月前
株式会社不二越
X線測定装置
1か月前
本陣水越株式会社
車載式計測標的物
4日前
続きを見る
他の特許を見る