TOP
|
特許
|
意匠
|
商標
特許ウォッチ
Twitter
他の特許を見る
10個以上の画像は省略されています。
公開番号
2025152324
公報種別
公開特許公報(A)
公開日
2025-10-09
出願番号
2024054159
出願日
2024-03-28
発明の名称
地盤強度推定装置、地盤強度推定システム、及び地盤強度推定方法
出願人
株式会社不動テトラ
,
国立大学法人東北大学
代理人
個人
,
個人
,
個人
主分類
E02D
1/00 20060101AFI20251002BHJP(水工;基礎;土砂の移送)
要約
【課題】施工エリア全体に対する施工完了後の地盤強度を推定することが可能な地盤強度推定装置を提供する。
【解決手段】地盤強度推定装置100は、施工データに基づいて生成した第1行列データに対して正規化処理を行った第2行列データを生成するデータ準備処理部112と、を備える。また、地盤強度推定装置100は、第2行列データに対して特異値分解し、第1構成係数を算出する特異値分解処理部113を備える。また、地盤強度推定装置100は、地盤強度推定地点と、各施工済杭との水平距離により定まる距離影響度を算出する影響度算出部114を備える。また、地盤強度推定装置100は、第1構成係数と、距離影響度との関係を算出し、距離影響度に対する第2構成係数を算出する構成係数推定部115と、第2構成係数に基づいて算出した第3行列データに基づいて地盤強度を推定する地盤強度推定部116とを備える。
【選択図】図4
特許請求の範囲
【請求項1】
地中に柱状物を造成することにより地盤を締め固める締固め杭造成装置によって施工された地盤強度を推定する地盤強度推定装置であって、
前記締固め杭造成装置で用いられる施工データを取得する観測値情報取得部と、
前記施工データに基づいて第1行列データを生成し、前記第1行列データに対して正規化処理を行った第2行列データを生成するデータ準備処理部と、
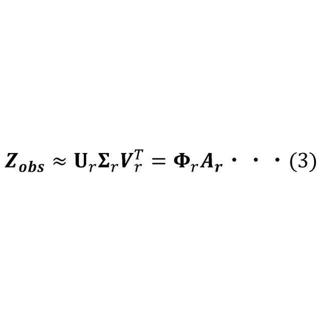
前記第2行列データに対して特異値分解し、左特異ベクトルと、特異値と、右特異ベクトルとの積で表される第1構成係数を算出する特異値分解処理部と、
地盤強度を推定する地盤強度推定地点と、各施工済杭との水平距離により定まる距離影響度を算出する影響度算出部と、
前記第1構成係数と、前記距離影響度との関係を回帰分析により算出し、算出した前記関係により、前記距離影響度に対する第2構成係数を算出する構成係数推定部と、
前記第2構成係数を行列化して第3行列データを算出し、前記第3行列データに基づいて地盤強度を推定する地盤強度推定部と、
を備える、地盤強度推定装置。
続きを表示(約 1,100 文字)
【請求項2】
前記施工データは、回転駆動装置の電流値、昇降装置の油圧値、及びケーシングパイプの貫入速度を含む、請求項1に記載の地盤強度推定装置。
【請求項3】
前記施工データは、柱状物の打設順に関する情報をさらに含む、請求項2に記載の地盤強度推定装置。
【請求項4】
地中に柱状物を造成することにより地盤を締め固める装置であって、ケーシングパイプと、前記ケーシングパイプを昇降させるための昇降装置と、前記ケーシングパイプを回転させる回転駆動装置と、を有する締固め杭造成装置と、
前記締固め杭造成装置によって施工された地盤強度を推定する地盤強度推定装置と、を備え、
前記地盤強度推定装置は、
前記締固め杭造成装置で用いられる施工データを取得する観測値情報取得部と、
前記施工データに基づいて第1行列データを生成し、前記第1行列データに対して正規化処理を行った第2行列データを生成するデータ準備処理部と、
前記第2行列データに対して特異値分解し、左特異ベクトルと、特異値と、右特異ベクトルとの積で表される第1構成係数を算出する特異値分解処理部と、
地盤強度を推定する地盤強度推定地点と、各施工済杭との水平距離により定まる距離影響度を算出する影響度算出部と、
前記第1構成係数と、前記距離影響度との関係を回帰分析により算出し、算出した前記関係により、前記距離影響度に対する第2構成係数を算出する構成係数推定部と、
前記第2構成係数を行列化して第3行列データを算出し、前記第3行列データに基づいて地盤強度を推定する地盤強度推定部と、
を有する、地盤強度推定システム。
【請求項5】
コンピュータによって実行され、地中に柱状物を造成することにより地盤を締め固める工法によって施工された地盤強度を推定する地盤強度推定方法であって、
ケーシングパイプ貫入時の施工データに基づいて特異値分解を行い、
地盤強度を推定する地盤強度推定地点と、各施工済杭と、の水平距離により定まる距離影響度を算出し、
前記特異値分解を行った結果と、前記距離影響度との関係に基づいて、回帰分析を行い、
前記回帰分析を行った結果に基づいて、施工エリアの任意地点における深度方向の地盤強度を推定する、地盤強度推定方法。
【請求項6】
前記施工データは、回転駆動装置の電流値、昇降装置の油圧値、及びケーシングパイプの貫入速度を含む、請求項5に記載の地盤強度推定方法。
【請求項7】
前記施工データは、柱状物の打設順に関する情報をさらに含む、請求項6に記載の地盤強度推定方法。
発明の詳細な説明
【技術分野】
【0001】
本発明は、地盤強度推定装置、地盤強度推定システム、及び地盤強度推定方法に関する。
続きを表示(約 3,000 文字)
【背景技術】
【0002】
従来、地中に柱状体を造成することにより周辺地盤を締め固める工法に対して、この工法によって目標とする地盤強度が得られたか否かを推定する技術が提案されている。特許文献1には、偏心モーターを用いて地盤強度を推定する締固め管理装置が開示されている。特許文献1に開示された締固め管理装置は、地盤強度に応じて増加する偏心モーターの電流値に基づいて地盤強度を推定する。
【先行技術文献】
【特許文献】
【0003】
特開2019-157385号公報
【発明の概要】
【発明が解決しようとする課題】
【0004】
特許文献1に開示された締固め管理装置においては、施工地点における施工時点の地盤強度を推定することができるが、目標強度として定められている施工完了後の施工エリア全体における地盤強度を推定することができない。
【0005】
本発明は、このような従来技術が有する課題に鑑みてなされたものである。そして本発明の目的は、施工エリア全体に対する施工完了後の地盤強度を推定することが可能な地盤強度推定装置を提供することにある。
【課題を解決するための手段】
【0006】
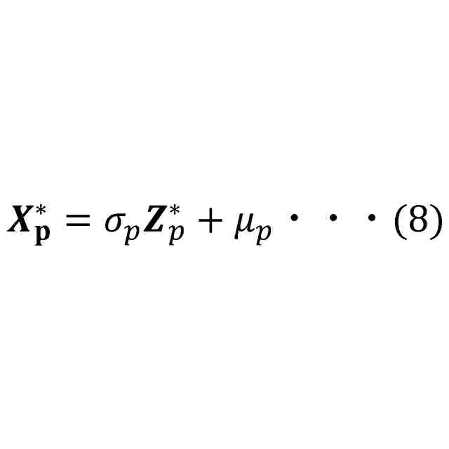
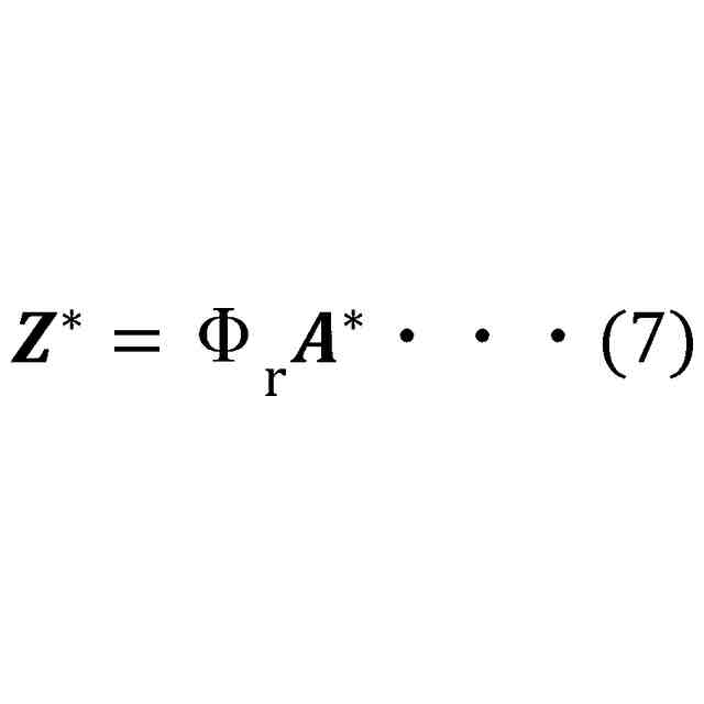
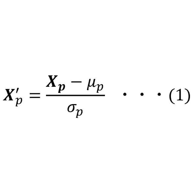
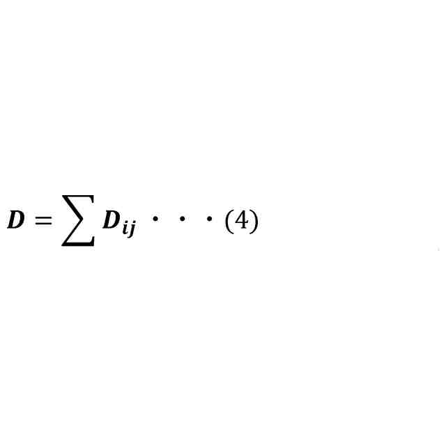
本発明の態様に係る地盤強度推定装置は、地中に柱状物を造成することにより地盤を締め固める締固め杭造成装置によって施工された地盤強度を推定する地盤強度推定装置であって、締固め杭造成装置で用いられる施工データを取得する観測値情報取得部と、施工データに基づいて第1行列データを生成し、第1行列データに対して正規化処理を行った第2行列データを生成するデータ準備処理部と、第2行列データに対して特異値分解し、左特異ベクトルと、特異値と、右特異ベクトルとの積で表される第1構成係数を算出する特異値分解処理部と、地盤強度を推定する地盤強度推定地点と、各施工済杭との水平距離により定まる距離影響度を算出する影響度算出部と、第1構成係数と、距離影響度との関係を回帰分析により算出し、算出した関係により、距離影響度に対する第2構成係数を算出する構成係数推定部と、第2構成係数を行列化して第3行列データを算出し、第3行列データに基づいて地盤強度を推定する地盤強度推定部と、を備える。
【0007】
本発明の他の態様に係る地盤強度推定システムは、地中に柱状物を造成することにより地盤を締め固める装置であって、ケーシングパイプと、ケーシングパイプを昇降させるための昇降装置と、ケーシングパイプを回転させる回転駆動装置と、を有する締固め杭造成装置と、締固め杭造成装置によって施工された地盤強度を推定する地盤強度推定装置と、を備え、地盤強度推定装置は、締固め杭造成装置で用いられる施工データを取得する観測値情報取得部と、施工データに基づいて第1行列データを生成し、第1行列データに対して正規化処理を行った第2行列データを生成するデータ準備処理部と、第2行列データに対して特異値分解し、左特異ベクトルと、特異値と、右特異ベクトルとの積で表される第1構成係数を算出する特異値分解処理部と、地盤強度を推定する地盤強度推定地点と、各施工済杭との水平距離により定まる距離影響度を算出する影響度算出部と、第1構成係数と、距離影響度との関係を回帰分析により算出し、算出した関係により、距離影響度に対する第2構成係数を算出する構成係数推定部と、第2構成係数を行列化して第3行列データを算出し、第3行列データに基づいて地盤強度を推定する地盤強度推定部と、を有する。
【0008】
本発明の他の態様に係る地盤強度推定方法は、コンピュータによって実行され、地中に柱状物を造成することにより地盤を締め固める工法によって施工された地盤強度を推定する地盤強度推定方法であって、ケーシングパイプ貫入時の施工データに基づいて特異値分解を行い、地盤強度を推定する地盤強度推定地点と、各施工済杭と、の水平距離により定まる距離影響度を算出し、特異値分解を行った結果と、距離影響度との関係に基づいて、回帰分析を行い、回帰分析を行った結果に基づいて、施工エリアの任意地点における深度方向の地盤強度を推定する。
【発明の効果】
【0009】
本発明によれば、施工エリア全体に対する施工完了後の地盤強度を推定することが可能な地盤強度推定装置を提供することができる。
【図面の簡単な説明】
【0010】
本実施形態に係る地盤強度推定システムの構成を示す図である。
本実施形態に係る地盤強度推定システムを用いた砂杭打設による締固め工法について説明するための図である。
本実施形態に係る地盤強度装置の構成を示すブロック図である。
本実施形態に係る地盤強度装置の機能的構成を示すブロック図である。
本実施形態に係る地盤強度推定システムによる解析対象となる施工データについて説明するための図である。
本実施形態に係る地盤強度推定システムで適用されるデータフレームについて説明するための図である。
本実施形態に係る地盤強度推定システムで適用されるデータフレームについて説明するための図である。
本実施形態に係る地盤強度推定システムで適用されるデータについて説明するための図である。
本実施形態に係る地盤強度推定システムで適用される特異値分解について説明するための図である。
本実施形態に係る地盤強度推定システムで適用される次元削減について説明するための図である。
本実施形態に係る地盤強度推定システムで適用される特異値分解の一例について説明するための図である。
本実施形態に係る地盤強度推定システムにおける影響度算出について説明するための図である。
本実施形態に係る地盤強度推定システムにおける構成係数と影響度との関係について説明するための図である。
本実施形態に係る地盤強度推定システムにおける構成係数と影響度との関係について説明するための図である。
本実施形態に係る地盤強度推定システムにおける構成係数と影響度との関係について説明するための図である。
本実施形態に係る地盤強度推定システムにおける構成係数推定について説明するための図である。
本実施形態に係る地盤強度推定システムにおける地盤強度推定について説明するための図である。
本実施形態に係る地盤強度推定システムにおける地盤強度推定の結果について説明するための図である。
本実施形態に係る地盤強度推定システムにおける地盤強度推定の結果について説明するための図である。
本実施形態に係る地盤強度推定システムにおける地盤強度推定の結果について説明するための図である。
本実施形態に係る地盤強度推定システムにおける地盤強度推定の結果について説明するための図である。
本実施形態に係る地盤強度推定装置の処理の一例を示すフローチャートである。
【発明を実施するための形態】
(【0011】以降は省略されています)
この特許をJ-PlatPat(特許庁公式サイト)で参照する
関連特許
株式会社不動テトラ
艤装式係留フック
1日前
株式会社不動テトラ
砂杭締固め工法での砂排出方法
2日前
株式会社不動テトラ
施工パターン検証装置及び施工パターン検証方法
2日前
株式会社不動テトラ
地盤強度推定装置、地盤強度推定システム、及び地盤強度推定方法
2日前
個人
鋼管
23日前
FKS株式会社
擁壁
12日前
鈴健興業株式会社
敷板部材
8日前
株式会社クボタ
作業車
10日前
株式会社奥村組
ケーソン工法
15日前
株式会社クボタ
作業車
10日前
個人
擁壁用ブロックおよび擁壁
9日前
株式会社ネクステリア
平板基礎
8日前
株式会社奥村組
ケーソン刃口金物
15日前
株式会社大林組
建物の構造
9日前
株式会社熊谷組
地盤改良方法
4日前
株式会社大林組
袋体付き排水パイプ
22日前
株式会社大林組
袋体付き排水パイプ
22日前
株式会社熊谷組
山留壁用親杭
1日前
株式会社熊谷組
密度計測方法
10日前
大和ハウス工業株式会社
杭抜き先端具
16日前
日立建機株式会社
作業機械
2日前
日立建機株式会社
作業機械
1か月前
日立建機株式会社
建設機械
2日前
日立建機株式会社
建設機械
2日前
日立建機株式会社
作業機械
1日前
日立建機株式会社
建設機械
8日前
日立建機株式会社
作業機械
1日前
日立建機株式会社
作業機械
12日前
日立建機株式会社
作業機械
1日前
ヤマト発動機株式会社
浮遊型消波装置
12日前
ゼニヤ海洋サービス株式会社
通船ゲート
22日前
鹿島建設株式会社
接続方法および接続構造
22日前
カナデビア株式会社
サクション基礎
2日前
ライト工業株式会社
鉄筋保持用治具
2日前
日立建機株式会社
電動式作業機械
8日前
JFEスチール株式会社
鋼管矢板の継手構造
24日前
続きを見る
他の特許を見る