TOP
|
特許
|
意匠
|
商標
特許ウォッチ
Twitter
他の特許を見る
10個以上の画像は省略されています。
公開番号
2025149637
公報種別
公開特許公報(A)
公開日
2025-10-08
出願番号
2024050397
出願日
2024-03-26
発明の名称
心理特性推定システムおよび作業管理システム
出願人
国立大学法人広島大学
,
コベルコ建機株式会社
代理人
個人
,
個人
,
個人
,
個人
,
個人
,
個人
,
個人
,
個人
,
個人
主分類
A61B
5/16 20060101AFI20251001BHJP(医学または獣医学;衛生学)
要約
【課題】作業する作業員の心理特性を推定する。
【解決手段】心理特性推定システム10は、入力刺激uと当該入力刺激uに対応する心理モデルGの出力結果である心的反応yを1組のデータとする複数のデータ組を取得し(ステップS30)、所望の出力特性ymを参照モデルGmに設定した上で(ステップS40)、フィードバック制御器Ceの特性と、参照モデルGmの特性とから2自由度系システム部における心理特性Gの入力刺激uに対する心的反応yの伝達特性を特定し(ステップS50)、特定した心理特性Gの伝達特性を、有限インパルス応答型の形式に変換して既知情報で表すことで、心理特性Gを推定する(ステップS50)よう構成される。
【選択図】図2
特許請求の範囲
【請求項1】
作業を行う作業者に与えられる心的刺激を入力値とし、前記作業者が前記心的刺激から感じ取る心的反応を出力値とする入出力関係である前記作業者の心理特性を推定するシステムであって、2自由度系システム部と、コントローラとを備え、
前記2自由度系システム部は、
前記心的反応の目標値から所望の出力特性を算出して出力する伝達関数である参照モデルと、
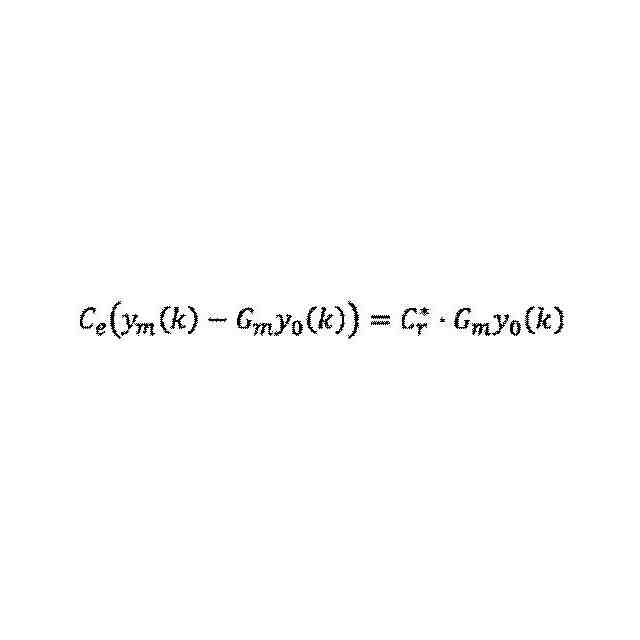
前記心的反応と前記出力特性との偏差が減少するように前記出力特性を調整するフィードバック制御器と、
前記出力特性を調整するフィードフォワ―ド制御器と、
前記フィードバック制御器の出力と、前記フィードフォワ―ド制御器の出力との合算を前記心的刺激として、前記心的反応を出力する前記心理特性とを含み、
前記コントローラは、
前記心的刺激および前記心的反応を1組のデータとする複数のデータ組を取得し、前記所望の出力特性を前記参照モデルに設定した上で、
前記フィードバック制御器の特性と、前記参照モデルの特性とから、前記2自由度系システム部における前記心理特性の前記入力刺激に対する前記心的反応の伝達特性を特定し、
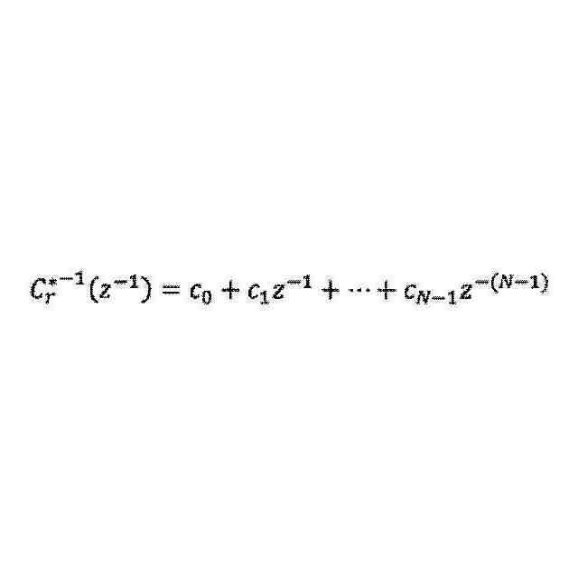
前記特定した前記心理特性の伝達特性を、有限インパルス応答型の形式に変換して既知情報で表すことで、前記心理特性を推定し、心的状態およびその変化を判定するよう構成される、
心理特性推定システム。
続きを表示(約 370 文字)
【請求項2】
前記特定した前記心理特性の伝達特性を有限インパルス応答型の形式に変換して既知情報で表す際に、前記心理特性を含む閉ループ系の伝達特性の動特性を調整可能である、請求項1に記載の心理特性推定システム。
【請求項3】
さらに、前記推定される心理特性から、前記心的状態の変化タイミングを推定し、心的状態のサポート要否を判定するよう構成される、請求項1に記載の心理特性推定システム。
【請求項4】
作業現場を管理するシステムであって、
請求項1~3に記載の心理特性推定システムから前記作業者の前記心理特性および前記心的反応を取得し、
前記心理特性および前記心的反応に応じて、前記作業者および前記作業現場の管理主体の少なくとも一方にサポートを提示するよう構成される、作業管理システム。
発明の詳細な説明
【技術分野】
【0001】
本発明は、人の心理特性を推定するシステムに関する。
続きを表示(約 2,300 文字)
【背景技術】
【0002】
作業者の身体面や精神面における人的事情を検出して作業場の管理を支援する技術として従来、特開2020-149452号公報(特許文献1)に記載のシステムが知られている。特許文献1に記載のシステムは、特定作業者に設置した人的センサから身体内部状態情報を得て、特定作業者の身体内部状態(焦っている、緊張している、ぼんやりしている等)を判断し、アラート内容を決定する演算部と、作業者に対してアラートを発生する出力部を備える。
【0003】
また、運転者の焦りを検出する技術として従来、特開2020-185872号公報(特許文献2)に記載の装置が知られている。特許文献2に記載の焦り検出装置は、焦り情報検出部と、焦り状態検出部と、を備える。焦り情報検出部は、車両が発進するタイミング、車両が停車するタイミング、及び車両の機器が操作されたタイミングを起点として、次の機器が操作されるタイミングまでの時間間隔を検出する。焦り状態検出部は、焦り情報検出部により検出された時間間隔に基づいて、ドライバが焦っている状態を検出する。
【先行技術文献】
【特許文献】
【0004】
特開2020-149452号公報
特開2020-185872号公報
【発明の概要】
【発明が解決しようとする課題】
【0005】
しかし、上記従来のような技術にあっては、さらに改善すべき点があることを本発明者は見いだした。つまり特許文献1および特許文献2に記載の技術は作業者や運転者の心理等の状態を取得するが、人間の身体内部状態(特許文献1)や焦り状態(特許文献2)というのは外部から視認することができない内心領域であるから、的確に判断することが困難である。また人間の心理というものは複雑で未知な関数であるといえる。このため特許文献1および特許文献2に記載の技術といえども、作業者の心理等の状態を的確に取得するものとはいえない。
【0006】
また機械化された建設作業や農作業にあっては、機械の操縦員(オペレータ)等、人である作業員が、使用される建設機械や農機械といった作業機械の多数の操作子を同時に操作しなければならないところ、作業当日の気温や、湿度や、体温や、1日の作業時間や、作業ノルマといった心的刺激が、操縦員の疲労感、焦り感、不安感、怠惰感、眠気、苦手感、苦痛感といったネガティブな心的反応結果や、達成感、やりがい、楽しさ、没入度といったポジティブな心的反応結果をもたらし、ひいては建設作業や農作業の作業効率に大きく影響する。このため作業者の心理等の状態を的確に取得する必要性がある。
【0007】
本発明は、上述の実情に鑑み、外部から作業者に与えられる心的刺激と、心的刺激によって作業者が感じる心的反応結果との関係(人の心理特性)を、的確に推定することができるシステムを提供することを目的とする。
【課題を解決するための手段】
【0008】
この目的のため本発明による心理特性推定システムは、作業を行う作業者に与えられる心的刺激を入力値とし、作業者が心的刺激から感じ取る心的反応を出力値とする入出力関係である作業者の心理特性を推定するシステムであって、2自由度系システム部と、コントローラとを備え、2自由度系システム部は心的反応の目標値から所望の出力特性を算出して出力する伝達関数である参照モデルと、心的反応と出力特性との偏差が減少するように出力特性を調整するフィードバック制御器と、出力特性を調整するフィードフォワ―ド制御器と、フィードバック制御器の出力とフィードフォワ―ド制御器の出力との合算を心的刺激として心的反応を出力する上述した心理特性とを含み、コントローラは、心的刺激および心的反応を1組のデータとする複数のデータ組を取得し、所望の出力特性を参照モデルに設定した上で、フィードバック制御器の特性と参照モデルの特性とから2自由度系システム部における心理特性の入力刺激に対する心的反応の伝達特性を特定し、特定した心理特性の伝達特性を、有限インパルス応答型の形式に変換して既知情報で表すことで心理特性を推定し、心的状態およびその変化を判定するよう構成される。
【0009】
かかる本発明によれば、作業者の心理特性を包含するシステムの設計にあたり、心理特性を物理的に把握可能な形式で算出することができる。またシステムの特性を表すパラメータから、作業者の心的反応結果を取得し、心的反応結果の変化を確認することができる。このように、作業者、作業を行う作業者や、作業機械の操縦員、の心理特性を的確に推定できる。これにより、作業者の心的反応結果の変化とそのタイミングを推定し、心的状態改善の要否を判断することができる。なお作業は、建設現場、農地、森林といった屋外の作業のみならず、屋内の作業場(倉庫の物品の搬入・搬出など)でもよい。
【0010】
本発明の一局面として心理特性推定システムは、特定した心理特性の伝達特性を有限インパルス応答型の形式に変換して既知情報で表す際に、心理特性を含む閉ループ系の伝達特性の動特性を調整可能に構成される。かかる局面によれば、心的反応結果だけでなく、心理特性を包含するシステムのシステム特性を考慮し、作業者の個人差に応じた制御にできる。したがってその作業者の個人的な心的不快さの軽減や、所望の心的状態への制御における制御性向上に資する。また作業者の熟練度に応じて心理特性を推定することができる。
(【0011】以降は省略されています)
この特許をJ-PlatPat(特許庁公式サイト)で参照する
関連特許
国立大学法人広島大学
直腸生検補助具
2か月前
国立大学法人広島大学
水素の製造方法
5か月前
国立大学法人広島大学
腸内菌叢改善剤
5か月前
国立大学法人広島大学
ゴム組成物の製造方法
3か月前
国立大学法人広島大学
作業機械の油圧制御装置
4日前
国立大学法人広島大学
肺高血圧症の治療用組成物
3か月前
国立大学法人広島大学
二酸化炭素吸着材の製造方法
9日前
株式会社明治
分析システム
4か月前
株式会社大林組
土壌改良方法
2か月前
国立大学法人広島大学
嚥下能力評価装置及びプログラム
6か月前
国立大学法人広島大学
作業支援システムおよび作業支援方法
5か月前
国立大学法人広島大学
作業支援システムおよび作業支援方法
5か月前
国立大学法人広島大学
作業支援システムおよび作業支援方法
5か月前
国立大学法人広島大学
作業支援システムおよび作業支援方法
5か月前
国立大学法人広島大学
難水溶性化合物の細胞外小胞搭載方法
5か月前
株式会社大林組
CO2固定量測定方法
1か月前
国立大学法人広島大学
生体情報測定器及び生体情報の測定方法
6か月前
三菱ケミカル株式会社
アミンの検出方法
6か月前
国立大学法人秋田大学
癌細胞増殖抑制剤
24日前
国立大学法人広島大学
枯草菌並びにそれを含む食品および発酵物
3か月前
国立大学法人広島大学
流体解析方法、流体解析装置及びプログラム
5か月前
株式会社大林組
セメント組成物の製造方法
5か月前
株式会社大林組
セメント組成物の製造方法
1か月前
国立大学法人広島大学
心理特性推定システムおよび作業管理システム
4日前
JFEスチール株式会社
情報処理装置及び方法
23日前
大陽日酸株式会社
膜分離装置および膜分離方法
6か月前
国立大学法人広島大学
尿管ステント抜去器具及び尿管ステント抜去方法
5か月前
三建産業株式会社
工業炉
3か月前
国立大学法人広島大学
植物生育環境評価装置及び植物生育環境評価方法
5か月前
フジクリーン工業株式会社
発泡ガラス複合材料
5か月前
国立大学法人広島大学
入出力予測方法、制御器の設計方法及び制御方法
3か月前
国立大学法人広島大学
二酸化炭素分離膜の製造方法及び二酸化炭素分離膜
3か月前
国立大学法人広島大学
有彩色フリッカの不快感評価方法及び不快感評価装置
4か月前
トヨタ自動車株式会社
油膜付燃料及び非混和性油脂
4か月前
国立大学法人広島大学
雌の抗老化剤
9日前
キユーピー株式会社
オボムコイドを含まない殻付き鶏卵の選別方法
5か月前
続きを見る
他の特許を見る