TOP
|
特許
|
意匠
|
商標
特許ウォッチ
Twitter
他の特許を見る
10個以上の画像は省略されています。
公開番号
2025148565
公報種別
公開特許公報(A)
公開日
2025-10-07
出願番号
2025121174,2024536998
出願日
2025-07-18,2023-10-27
発明の名称
キナクリドン化合物
出願人
DIC株式会社
代理人
個人
,
個人
,
個人
,
個人
主分類
C09B
67/20 20060101AFI20250930BHJP(染料;ペイント;つや出し剤;天然樹脂;接着剤;他に分類されない組成物;他に分類されない材料の応用)
要約
【課題】バイオ赤色顔料として使用できる、バイオ由来のキナクリドン化合物を含有する着色組成物の製造方法を提供する。
【解決手段】放射性炭素原子
14
Cを含有し、pMC(パーセントモダンカーボン)が50%以上であり、下記式(B-2)で表されるキナクリドン化合物を少なくとも含有するキナクリドン系赤色顔料組成物と、分散媒体とを含有する着色組成物を製造する着色組成物の製造方法であって、原料としてバイオ-4-アミノ安息香酸とバイオコハク酸とを使用し、キナクリドン化合物を合成することを含む方法である。
<com:Image com:imageContentCategory="Drawing"> <com:ImageFormatCategory>JPEG</com:ImageFormatCategory> <com:FileName>2025148565000017.jpg</com:FileName> <com:HeightMeasure com:measureUnitCode="Mm">50</com:HeightMeasure> <com:WidthMeasure com:measureUnitCode="Mm">126</com:WidthMeasure> </com:Image>
【選択図】図1
特許請求の範囲
【請求項1】
放射性炭素原子
14
Cを含有し、pMC(パーセントモダンカーボン)が50%以上であり、下記式(B-2)で表されるキナクリドン化合物を少なくとも含有するキナクリドン系赤色顔料組成物と、分散媒体とを含有する着色組成物を製造する着色組成物の製造方法であって、
JPEG
2025148565000016.jpg
50
126
(式(B-2)中、Tは、Cl又はCH
3
である)
下記(B-i)工程~下記(B-iii)工程を含む製造方法によって前記キナクリドン化合物を製造する工程と、
下記(B-i)工程~下記(B-iii)工程を含む製造方法によって製造された前記キナクリドン化合物を含有する前記キナクリドン系赤色顔料組成物と、前記分散媒体とを含有させ前記着色組成物を得る工程と、
を含む着色組成物の製造方法。
(B-i)4-アミノ安息香酸を原料として用い、前記4-アミノ安息香酸からサンドマイヤー反応によりパラ位に置換基を有する安息香酸を得、その後尿素と反応させることによりパラ位に置換基を有するベンズアミドを得、その後ホフマン脱離反応させることによりパラ位に置換基を有するアニリンを製造する工程
(B-ii)コハク酸を原料として用い、前記コハク酸をメタノールと反応させ、コハク酸ジメチルを得、その後二量化させることによりジメチル2,5ジヒドロキシシクロヘキサジエン-1,4ジカルボキシレートを製造する工程
ただし、前記(B-i)の4-アミノ安息香酸および前記(B-ii)のコハク酸のうち、少なくとも前記(B-i)の4-アミノ安息香酸はバイオ由来のものを用い、
(B-iii)前記(B-i)で製造されたパラ位に置換基を有するアニリンと、前記(B-ii)で製造されたジメチル2,5ジヒドロキシシクロヘキサジエン-1,4ジカルボキシレートとを反応させる工程
続きを表示(約 190 文字)
【請求項2】
前記キナクリドン系赤色顔料組成物中における前記式(B-2)で表されるキナクリドン化合物が占める割合は、70質量%以上である、請求項1に記載の着色組成物の製造方法。
【請求項3】
前記着色組成物中における前記式(B-2)で表されるキナクリドン化合物が占める割合は、0.5質量%~50質量%である、請求項1に記載の着色組成物の製造方法。
発明の詳細な説明
【技術分野】
【0001】
本発明は、キナクリドン化合物、該化合物を含有する組成物、及び該化合物の製造方法に関する。
続きを表示(約 2,900 文字)
【背景技術】
【0002】
キナクリドンは、その強固な構造と優れた耐光性および耐候性により、我々の日常生活において重要な赤色色素である。このため、自動車用塗料、装飾用塗料、GIコーティング、プラスチック、インクなど、幅広く応用されている。
キナクリドンの構造を有するジクロロキナクリドン顔料についてその製造方法が開示されている(特許文献1参照)。
キナクリドンの従来の合成法では、化石資源由来のベンゼンとブタンが主な原料となる。
ところで、近年、世界の潮流は、持続可能な開発を重視する方向に変化している。CO
2
排出量の削減は重要な課題であり、石油由来原料からバイオ原料への転換も重要な課題である。さらに、毒性化学物質をより毒性の低い代替物質に置き換えることも強調されている。
現在、製造されているキナクリドン系赤色顔料は、今後の環境問題への要求を考慮すると満足いくものではなく、クリーン及びグリーン、並びにカーボンニュートラルの観点から、バイオ由来のキナクリドン系赤色顔料の提供が強く望まれている。
【先行技術文献】
【特許文献】
【0003】
特開2007-197630号公報
【発明の概要】
【発明が解決しようとする課題】
【0004】
本発明は、バイオ赤色顔料として使用できる、安全で、クリーン及びグリーン、並びにカーボンニュートラルなアプローチで得られるバイオ由来のキナクリドン化合物、及び該化合物を含有する組成物を提供することを目的とする。
【課題を解決するための手段】
【0005】
本発明者は、上記課題を解決するために検討した結果、原料としてバイオ-4-アミノ安息香酸(4-アミノ安息香酸を本明細書では略して「PABA」とも表す)とバイオコハク酸とを使用し、二次バイオ原料やバイオ中間体を誘導し、次いで、該二次バイオ原料または該バイオ中間体を、カップリング反応や、脱水または閉環反応させることにより、赤色顔料として使用できるバイオ由来のキナクリドン化合物が得られることを見出し、本発明を完成するに至った。
【0006】
すなわち、本発明は、以下の態様を包含するものである。
[1] 放射性炭素原子
14
Cを含有し、下記式(B)で表される構造を有するキナクリドン化合物。
JPEG
2025148565000002.jpg
44
133
(式(B)中、Xは互いに独立して、-Cl、-F、-Br、-I、-OH、-NO
2
、C1~C12アルキル基、C1~C12アルコキシ基、フェニル基、-COOH、-COO-C1~C12アルキル、または-CO-NRを表す。Rは、各々独立に、水素原子、アルキル基、アルケニル基、またはフェニル基を表す。nは互いに独立して、1または2を表す。)
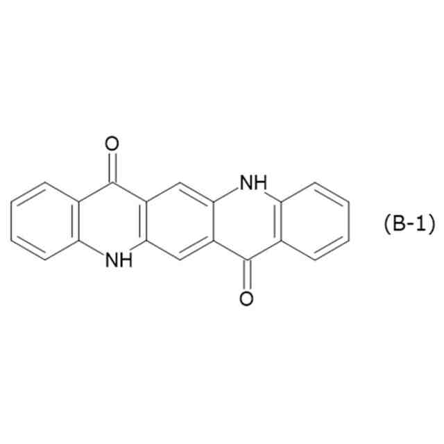
[2] 前記式(B)で表される構造を有するキナクリドン化合物が、下記式(B-1)または下記式(B-2)で表されるキナクリドン化合物である、[1]に記載のキナクリドン化合物。
JPEG
2025148565000003.jpg
48
114
JPEG
2025148565000004.jpg
50
126
(式(B-2)中、Tは、Cl、CH
3
、又はCOOHである)
[3] [1]または[2]に記載のキナクリドン化合物、を含有する組成物。
[4] 顔料用組成物として用いられる、[3]に記載の組成物。
[5] 前記組成物中における前記(B)で表される構造を有するキナクリドン化合物が占める割合は、70質量%以上である、[3]または[4]に記載の組成物。
[6] [3]または[4]に記載の組成物及び分散媒体を含有する着色組成物。
[7]前記着色組成物中における前記(B)で表される構造を有するジケトピロロピロール化合物が占める割合は、0.5質量%~50質量%である、[6]に記載の着色組成物。
[8] 放射性炭素原子
14
Cを含有し、下記式(B)で表される構造を有するキナクリドン化合物を製造するキナクリドン化合物の製造方法であって、
JPEG
2025148565000005.jpg
44
133
(式(B)中、Xは互いに独立して、-Cl、-F、-Br、-I、-OH、-NO
2
、C1~C12アルキル基、C1~C12アルコキシ基、フェニル基、-COOH、-COO-C1~C12アルキル、または-CO-NRを表す。Rは、各々独立に、水素原子、アルキル基、アルケニル基、またはフェニル基を表す。nは互いに独立して、1または2を表す。)
(B-i)4-アミノ安息香酸を原料として用い、置換基を有してもよいアニリンを製造し、
(B-ii)コハク酸を原料として用い、ジメチル2,5ジヒドロキシシクロヘキサー1,4ジカルボキシレートを製造し、
ただし、前記(B-i)の4-アミノ安息香酸および前記(B-ii)のコハク酸のうち、少なくともいずれかはバイオ由来のものを用い、
(B-iii)前記(B-i)で製造された置換基を有してもよいアニリンと、前記(B-ii)で製造されたジメチル2,5ジヒドロキシシクロヘキサー1,4ジカルボキシレートとを反応させることにより、前記式(B)で表される構造を有するキナクリドン化合物を製造する、キナクリドン化合物の製造方法。
【発明の効果】
【0007】
本発明により、バイオ赤色顔料として使用できる、安全で、クリーン及びグリーン、並びにカーボンニュートラルなアプローチで得られるバイオ由来のキナクリドン化合物、及び該化合物を含有する組成物を提供することができる。
【図面の簡単な説明】
【0008】
バイオ由来のキナクリドン化合物を製造するための工程を説明するための概略図である。
【発明を実施するための形態】
【0009】
以下、本発明について詳細に説明する。なお、以下に記載する構成要件の説明は、本発明を説明するための例示であり、本発明はこれらの内容に限定されるものではない。
【0010】
(放射性炭素原子
14
Cを含有し、下記式(B)表される構造を有するキナクリドン化合物)
本発明のキナクリドン化合物は、放射性炭素原子
14
Cを含有する。
本発明のキナクリドン化合物は、下記式(B)で表される構造を有する。
(【0011】以降は省略されています)
この特許をJ-PlatPat(特許庁公式サイト)で参照する
関連特許
DIC株式会社
積層体、および包装材
1か月前
DIC株式会社
粒子含有グリース組成物
1か月前
DIC株式会社
アンカー剤、印刷物、包材
4日前
DIC株式会社
化合物及びこれを含む組成物
1か月前
DIC株式会社
化合物及びこれを含む組成物
1か月前
DIC株式会社
負極活物質及びその製造方法、並びに二次電池
今日
DIC株式会社
着色フィルム、着色粘着テープ及び着色フィルムの製造方法
1か月前
DIC株式会社
樹脂物性値を予測する方法、情報処理装置、及びプログラム
6日前
DIC株式会社
キナクリドン化合物
今日
DIC株式会社
防藻剤、防藻性コーティング組成物、積層体、建造物、防藻性樹脂組成物および成形体
19日前
DIC株式会社
トナー用ポリエステル樹脂、トナー粒子、静電荷像現像用トナーおよび静電荷像現像剤
1か月前
DIC株式会社
カーボンブラック組成物、着色剤、インキ、及び、カーボンブラック組成物の製造方法
1か月前
DIC株式会社
フェニルホスホン酸亜鉛錯体、樹脂組成物、及び湿気硬化性ホットメルトウレタン樹脂接着剤
5日前
DIC株式会社
重合性不飽和基を有する樹脂の製造方法、重合性不飽和基を有する樹脂、硬化性樹脂組成物、硬化物
18日前
DIC株式会社
硬化性樹脂組成物、硬化物、積層体、及び硬化性化合物、
1か月前
DIC株式会社
リチウムイオン二次電池用負極活物質、当該物質を用いたリチウムイオン二次電池用負極及びリチウムイオン二次電池
1か月前
DIC株式会社
プロペニル基含有化合物、硬化性樹脂組成物、硬化物、プリプレグ、回路基板、ビルドアップフィルム、半導体封止材、及び半導体装置
1か月前
DIC株式会社
液晶組成物並びにこれを用いた液晶表示素子、センサ、液晶レンズ、光通信機器及びアンテナ
1か月前
ベック株式会社
被覆材
3か月前
日本化薬株式会社
インク
11日前
ベック株式会社
水性被覆材
3か月前
ベック株式会社
水性被覆材
3か月前
ベック株式会社
被膜形成方法
今日
ベック株式会社
被膜形成方法
2か月前
日本化薬株式会社
インク組成物
11日前
株式会社日本触媒
インクセット
20日前
関西ペイント株式会社
塗料組成物
2か月前
ぺんてる株式会社
水性インキ組成物
3か月前
東ソー株式会社
ゴム用接着性改質剤
3か月前
株式会社リコー
インクセット
3か月前
シヤチハタ株式会社
油性インキ組成物
1か月前
東ソー株式会社
土木用注入薬液組成物
12日前
東亞合成株式会社
硬化型接着剤組成物
3か月前
東亞合成株式会社
硬化型接着剤組成物
3か月前
artience株式会社
印刷インキ
3か月前
AGC株式会社
液状組成物
2か月前
続きを見る
他の特許を見る