TOP
|
特許
|
意匠
|
商標
特許ウォッチ
Twitter
他の特許を見る
10個以上の画像は省略されています。
公開番号
2025145916
公報種別
公開特許公報(A)
公開日
2025-10-03
出願番号
2024046423
出願日
2024-03-22
発明の名称
ころ軸受及びころ軸受の設計方法
出願人
日本精工株式会社
代理人
弁理士法人栄光事務所
主分類
F16C
33/58 20060101AFI20250926BHJP(機械要素または単位;機械または装置の効果的機能を生じ維持するための一般的手段)
要約
【課題】標準ころ軸受であっても、ころ端面とつば面等に生ずる摩耗を抑制することで、長寿命のころ軸受及びころ軸受の設計方法を提供する。
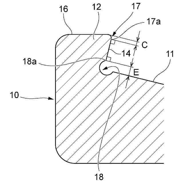
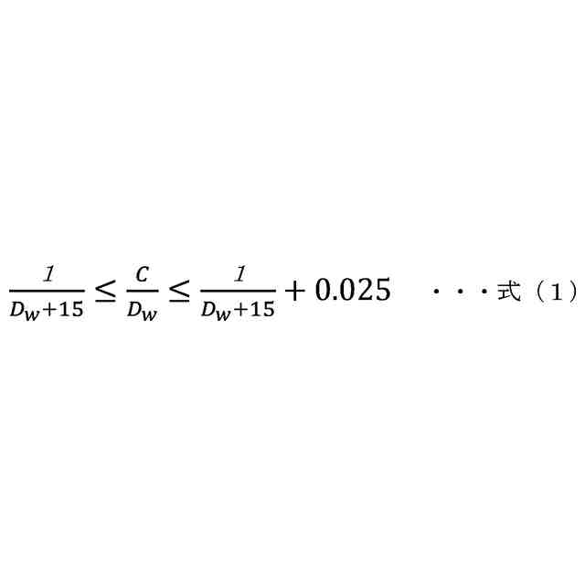
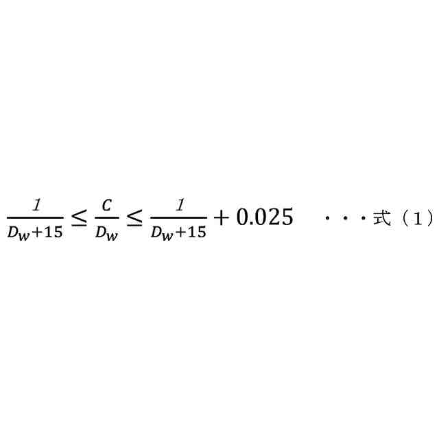
【解決手段】円筒ころ30の硬さは、つば部12の内側面14の硬さより硬く、つば部12の径方向先端とつば部12の内側面14との角部に設けられた面取り部17の、つば部12の内側面14に沿う方向の面取り寸法Cは、0.2mm以上、かつ下記式(1)を満足する。
【数1】
<com:Image com:imageContentCategory="Drawing"> <com:ImageFormatCategory>TIFF</com:ImageFormatCategory> <com:FileName>2025145916000014.tif</com:FileName> <com:HeightMeasure com:measureUnitCode="Mm">16</com:HeightMeasure> <com:WidthMeasure com:measureUnitCode="Mm">141</com:WidthMeasure> </com:Image> 但し、Dwは、ころ30の径寸法(mm)とし、円すいころ軸受1の場合は、大径側寸法(mm)とする。
【選択図】図2
特許請求の範囲
【請求項1】
軌道面を有する一対の軌道輪のうち、少なくとも一方の前記軌道輪は、前記軌道面の少なくとも軸方向一方側につば部を備え、前記一対の軌道輪の間に複数のころが転動自在に配設されたころ軸受であって、
前記ころの硬さは、前記つば部の内側面の硬さより硬く、
前記つば部の径方向先端と前記つば部の内側面との角部に設けられた面取り部の前記つば部の内側面に沿う方向の面取り寸法Cは、0.2mm以上であり、かつ下記式(1)を満足する、
ころ軸受。
TIFF
2025145916000010.tif
17
142
但し、Dwは、ころの径寸法(mm)とし、円すいころ軸受の場合は、大径側寸法(mm)とする。
続きを表示(約 790 文字)
【請求項2】
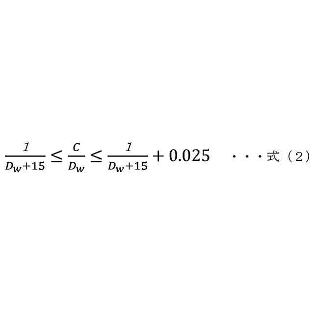
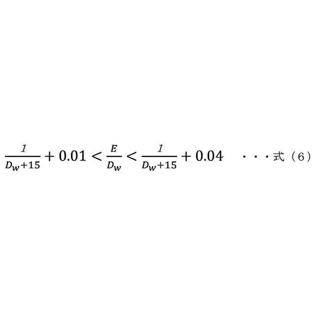
前記軌道面と前記つば部の内側面との角部に設けられた逃げ溝の前記つば部の内側面に沿う方向の逃げ寸法Eは、0.4mm以上であり、かつ下記式(2)を満足する、
請求項1に記載のころ軸受。
TIFF
2025145916000011.tif
14
141
【請求項3】
前記ころの側面の表面粗さは、前記つば部の内側面の表面粗さより小さい、
請求項1又は2に記載のころ軸受。
【請求項4】
前記つば部は、圧縮の残留応力を有する、
請求項1又は2に記載のころ軸受。
【請求項5】
軌道面を有する一対の軌道輪のうち、少なくとも一方の前記軌道輪は、前記軌道面の少なくとも軸方向一方側につば部を備え、前記一対の軌道輪の間に複数のころが転動自在に配設されたころ軸受の設計方法であって、
前記ころの硬さは、前記つば部の内側面の硬さより硬くし、
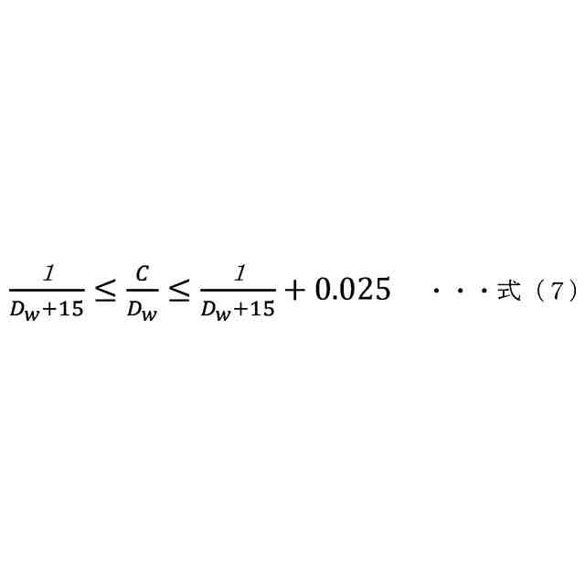
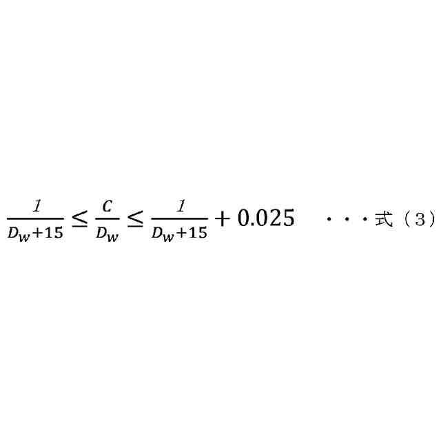
前記つば部の径方向先端と前記つば部の内側面との角部に設けられた面取り部の前記つば部の内側面に沿う方向の面取り寸法Cを0.2mm以上とし、かつ下記式(3)を満足させる、
ころ軸受の設計方法。
TIFF
2025145916000012.tif
15
143
但し、Dwは、ころの径寸法(mm)とし、円すいころ軸受の場合は、大径側寸法(mm)とする。
【請求項6】
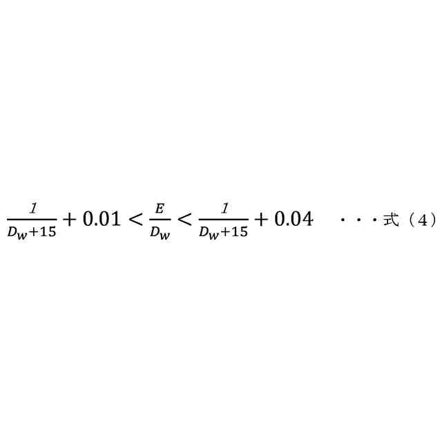
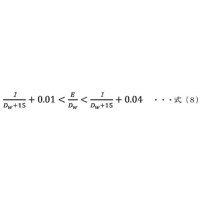
前記軌道面と前記つば部の内側面との角部に設けられた逃げ溝の前記つば部の内側面に沿う方向の逃げ寸法Eは、0.4mm以上であり、かつ下記式(4)を満足する、
請求項5に記載のころ軸受の設計方法。
TIFF
2025145916000013.tif
16
143
発明の詳細な説明
【技術分野】
【0001】
本発明は、ころ軸受及びころ軸受の設計方法に関する。
続きを表示(約 1,700 文字)
【背景技術】
【0002】
円筒ころ軸受や円すいころ軸受は、ころを軌道溝に留め、公転方向に案内するためのつば部が軌道輪やつば輪に備えられる。特に、図6に示す外輪に両つばがあり内輪に片つばがあるNJ形や、外輪に片つばがあり内輪に両つばがあるNF形等のアキシアル荷重を負荷できる円筒ころ軸受のつば面、又は円すいころ軸受の大つば面は、荷重を受けながらころ端面と摺動する。荷重、速度が高い場合や潤滑が不十分な場合は、ころ端面とつば面の間で摩耗が生じることがある。
【0003】
また、外輪に両つばがあり、外輪、ころ及び保持器の組立品と内輪とが分離できるNU形円筒ころ軸受(外輪両つば、内輪つばなし)やN形円筒ころ軸受(外輪つばなし、内輪両つば)、又はこれらに相当する複列、多列円筒ころ軸受においても摩耗が問題となることがある。即ち、非常に高速で運転する場合において、軸受の外部から作用する荷重をころ端面とつば面で支持はしないものの、これらの面の摺動速度が非常に高くなり、図7に示すように、内輪110の軌道面111、外輪120の軌道面121の方向に対してころ130の公転方向に向けて傾斜する、所謂、ころのスキューが発生することがある。或いは、図8に示すように、ころ130の転動面131に対してころ端面133に振れがあると(図8では端面の振れを誇張して示す)、ころ端面133とつば面114の接触力が増大する。これらの場合、ころ端面133やつば面114に摩耗、焼付きを生ずることがある。このような事象はdmn(ころのピッチ円径(mm)と軌道輪回転数(min
-1
の積)で80万を超えるような速度条件で顕著である。
【0004】
また、特許文献1には、内輪に指定の鋼材を用いるとともに浸炭処理を施し、内輪表面で負荷の大きい部分の炭素量、ロックウェルC硬さ、圧縮残留応力、最大炭化物径等の仕様を適切に設定することで、大つば面の摩耗や内輪軌道面の剥離を抑制することが記載されている。
【先行技術文献】
【特許文献】
【0005】
特開2006-168406号公報
【発明の概要】
【発明が解決しようとする課題】
【0006】
使用機械や軸受の使用条件、機械への軸受の取り付け状態(軸とハウジングとの芯ずれ、ミスアライメント(ハウジングや軸の芯に対する軸受の内輪や外輪の傾き等))等を細部まで限定する等して、つば面の摩耗寿命の長期化を図ることは可能ではある。しかし、いわゆる「標準ころ軸受」に対しては、その対策はし難い問題である。すなわち、「標準ころ軸受」について、つば面の摩耗寿命に対する妥当性のある設計を行うことは、主に経済的な理由から当業者であっても困難が伴う。
【0007】
本発明は、前述した課題に鑑みてなされたものであり、その目的は、標準ころ軸受であっても、ころ端面とつば面等に生ずる摩耗を抑制することで、長寿命のころ軸受及びころ軸受の設計方法を提供することである。
【課題を解決するための手段】
【0008】
本発明は下記の構成からなる。
(1) 軌道面を有する一対の軌道輪のうち、少なくとも一方の前記軌道輪は、前記軌道面の少なくとも軸方向一方側につば部を備え、前記一対の軌道輪の間に複数のころが転動自在に配設されたころ軸受であって、
前記ころの硬さは、前記つば部の内側面の硬さより硬く、
前記つば部の径方向先端と前記つば部の内側面との角部に設けられた面取り部の前記つば部の内側面に沿う方向の面取り寸法Cは、0.2mm以上、かつ下記式(1)を満足する、
ころ軸受。
【0009】
TIFF
2025145916000002.tif
16
141
【0010】
但し、Dwは、ころの径寸法(mm)とし、円すいころ軸受の場合は、大径側寸法(mm)とする。
(【0011】以降は省略されています)
この特許をJ-PlatPat(特許庁公式サイト)で参照する
関連特許
日本精工株式会社
ボールねじ
1日前
日本精工株式会社
温度検出装置
23日前
日本精工株式会社
アクチュエータ
29日前
日本精工株式会社
ボールねじ装置
今日
日本精工株式会社
転がり案内装置
1か月前
日本精工株式会社
ボールねじ装置
1か月前
日本精工株式会社
円すいころ軸受
1か月前
日本精工株式会社
密封型転がり軸受
1か月前
日本精工株式会社
密封型転がり軸受
1か月前
日本精工株式会社
密封型転がり軸受
1か月前
日本精工株式会社
密封型転がり軸受
1か月前
日本精工株式会社
密封型転がり軸受
1か月前
日本精工株式会社
密封型転がり軸受
22日前
日本精工株式会社
密封型転がり軸受
1か月前
日本精工株式会社
密封型転がり軸受
1か月前
日本精工株式会社
モータ制御システム
1か月前
日本精工株式会社
磁歪式トルクセンサ
1か月前
日本精工株式会社
磁歪式トルクセンサ
2か月前
日本精工株式会社
逆入力遮断クラッチ
28日前
日本精工株式会社
環境配慮型機械部品
13日前
日本精工株式会社
回転センサ一体型軸受
今日
日本精工株式会社
アクチュエータシステム
1か月前
日本精工株式会社
直動案内装置の組立方法
1か月前
日本精工株式会社
ラジアルころ軸受用保持器
1か月前
日本精工株式会社
潤滑機能付き転がり軸受装置
2か月前
日本精工株式会社
ハブユニット軸受の製造方法
23日前
日本精工株式会社
直動案内装置及びその製造方法
1か月前
日本精工株式会社
片持ち回転ローラ配置型円形車輪
1か月前
日本精工株式会社
ころ軸受及びころ軸受の設計方法
1か月前
日本精工株式会社
ハブユニット軸受及びその製造方法
1か月前
協同油脂株式会社
グリース組成物
1か月前
日本精工株式会社
含油部材付歯車、直動アクチュエータ
1か月前
日本精工株式会社
歯車伝達機構および直動アクチュエータ
今日
日本精工株式会社
深溝玉軸受用保持器、及びその製造方法
14日前
日本精工株式会社
細胞培養成形装置および細胞培養片の製造方法
2か月前
日本精工株式会社
光学式エンコーダユニット及び光学式エンコーダ
13日前
続きを見る
他の特許を見る