TOP
|
特許
|
意匠
|
商標
特許ウォッチ
Twitter
他の特許を見る
10個以上の画像は省略されています。
公開番号
2025144684
公報種別
公開特許公報(A)
公開日
2025-10-03
出願番号
2024044482
出願日
2024-03-21
発明の名称
輸送温度監視装置及び輸送温度監視システム
出願人
アイオーテック合同会社
代理人
個人
主分類
G06Q
10/083 20240101AFI20250926BHJP(計算;計数)
要約
【課題】輸送容器内部の温度が輸送中もしくは保管中に管理温度を逸脱する時刻を予測して、事前に知らせることができる輸送温度監視装置及び輸送温度監視システムを提供する。
【解決手段】輸送容器に取り付け又は組み込み可能な輸送温度監視装置であって、少なくとも輸送容器内部の温度を測定する1つ以上の内部温度センサと、内部温度取得部と、輸送容器の外部温度を測定する外部温度センサと、外部温度取得部と、制御部と、記憶部と、通信部と、表示部と、を備える。制御部は、内部温度と外部温度から管理温度を逸脱する時刻を演算する演算処理部を備える。また、制御部は、内部温度及び外部温度と、内部温度が管理温度を逸脱する時刻等の情報を合わせてコード画像を生成し、表示させる表示制御部を備えてもよい。
【選択図】図1
特許請求の範囲
【請求項1】
輸送容器に取り付け又は組み込み可能な輸送温度監視装置であって、少なくとも輸送容器内部の温度を測定する1つ以上の内部温度センサと、前記内部温度センサと接続される内部温度取得部と、前記輸送容器の外部温度を測定する外部温度センサと、前記外部温度センサと接続される外部温度取得部と、制御部と、記憶部と、通信部と、表示部と、を備え、
前記通信部は、
輸送物の情報と、前記輸送温度監視装置を識別する識別情報と、を含む物品管理情報と、
前記内部温度及び前記外部温度の取得設定情報と、前記輸送容器内部の管理温度と、標準時刻及び通知時刻と、を含む設定情報と、を受信し、
前記物品管理情報と前記設定情報と、前記内部温度及び前記外部温度と、前記内部温度が前記管理温度を逸脱する時刻と、を送信し
前記制御部は、
前記内部温度取得部で取得した前記内部温度と前記外部温度取得部で取得した前記外部温度から前記管理温度を逸脱する時刻を演算する演算処理部を備え、
前記記憶部は、前記物品管理情報と、前記設定情報と、前記内部温度及び前記外部温度と、前記輸送容器内部の管理温度を逸脱する時刻と、を格納することを特徴とする輸送温度監視装置。
続きを表示(約 2,300 文字)
【請求項2】
輸送容器に取り付け又は組み込み可能な輸送温度監視装置であって、少なくとも輸送容器内部の温度を測定する1つ以上の内部温度センサと、前記内部温度センサと接続される内部温度取得部と、前記輸送容器の外部温度を測定する外部温度センサと、前記外部温度センサと接続される外部温度取得部と、制御部と、記憶部と、通信部と、表示部と、を備え、
前記通信部は、
輸送物の情報と、前記輸送温度監視装置を識別する識別情報と、を含む物品管理情報と、
前記内部温度及び前記外部温度の取得設定情報と、前記輸送容器内部の管理温度と、標準時刻及び通知時刻と、を含む設定情報と、を受信し、
前記制御部は、
前記内部温度取得部で取得した前記内部温度と前記外部温度取得部で取得した前記外部温度から前記管理温度を逸脱する時刻を演算する演算処理部と、
前記物品管理情報と、前記設定情報と、前記内部温度及び前記外部温度と、前記内部温度が前記管理温度を逸脱する時刻と、を合わせてコード画像を生成し表示させる表示制御部と、を備え、
前記表示部は、前記コード画像を表示し、
前記記憶部は、前記物品管理情報と、前記設定情報と、前記内部温度及び前記外部温度と、前記輸送容器内部の管理温度を逸脱する時刻と、を格納することを特徴とする輸送温度監視装置。
【請求項3】
請求項1又は2に記載の輸送温度監視装置において、前記演算処理部は、2つ以上の前記内部温度センサが検知した温度データの中から、温度変化の最も大きな温度データを選択し、該温度データを用いて、所定のアルゴリズムで前記輸送容器内部の管理温度を逸脱する時刻を演算することを特徴とする輸送温度監視装置。
【請求項4】
請求項1又は2に記載の輸送温度監視装置において、前記演算処理部は前記輸送容器内部の管理温度を逸脱する時刻をニュートンの冷却法則を適用して演算し、該ニュートンの冷却法則における輸送容器の寸法及び断熱材の性能に依存したパラメータを、前記温度データから温度変化が始まった時刻からの微小時間の温度勾配値と、前記時刻での前記外部温度から決定することを特徴とする輸送温度監視装置。
【請求項5】
請求項1に記載の輸送温度監視装置と、設定端末装置と、読取端末装置と、クラウドサーバと、ユーザ端末装置と、を備えた輸送温度監視システムであって、
前記設定端末装置は、
前記物品管理情報と、前記設定情報と、を格納する記憶部と、
前記物品管理情報と、前記設定情報を前記輸送温度監視装置に送信する通信部と、
を備え、
前記読取端末装置は、
前記輸送温度監視装置から前記物品管理情報と、前記設定情報と、前記内部温度及び前記外部温度と、前記内部温度が前記管理温度を逸脱する時刻と、を受信して、位置情報と統合した統合情報を前記クラウドサーバに送信する通信部と、
前記物品管理情報と、前記設定情報と、前記内部温度及び前記外部温度と、前記内部温度が前記管理温度を逸脱する時刻を表示する表示部と、
を備え、
前記クラウドサーバは、
前記読取端末装置から前記統合情報を受信し、ユーザ端末装置に送信する通信部と、
前記統合情報を格納する記憶部と、
を備え、
前記ユーザ端末装置は、
前記クラウドサーバから前記統合情報を受信する通信部と、
前記統合情報を格納する記憶部と、
前記統合情報を表示する表示部と、
を備えることを特徴とする輸送温度監視システム。
【請求項6】
請求項2に記載の輸送温度監視装置と、設定端末装置と、読取端末装置と、クラウドサーバと、ユーザ端末装置と、を備えた輸送温度監視システムであって、
前記設定端末装置は、
前記物品管理情報と、前記設定情報と、を格納する記憶部と、
前記物品管理情報と、前記設定情報を前記輸送温度監視装置に送信する通信部と、
を備え、
前記読取端末装置は、
前記輸送温度監視装置の前記表示部に表示される前記コード画像を読み取る撮像部と、
前記コード画像を読み取って得られた情報を表示する表示部と、
前記コード画像を読み取って得られた情報と、位置情報と、を統合した統合情報を前記クラウドサーバに送信する通信部と、
を備え、
前記クラウドサーバは、
前記読取端末装置から前記統合情報を受信し、ユーザ端末装置に送信する通信部と、
前記統合情報を格納する記憶部と、
を備え、
前記ユーザ端末装置は、
前記クラウドサーバから前記統合情報を受信する通信部と、
前記統合情報を格納する記憶部と、
前記統合情報を表示する表示部と、
を備えることを特徴とする輸送温度監視システム。
【請求項7】
請求項2に記載の輸送温度監視装置と、設定端末装置と、読取端末装置と、を備えた輸送温度監視システムであって、
前記設定端末装置は、
前記物品管理情報と、前記設定情報と、を格納する記憶部と、
前記物品管理情報と、前記設定情報を前記輸送温度監視装置に送信する通信部と、
を備え、
前記読取端末装置は、
前記輸送温度監視装置の前記表示部に表示される前記コード画像を読み取る撮像部と、
前記コード画像を読み取って得られた情報を表示する表示部と、
を備えることを特徴とする輸送温度監視システム。
発明の詳細な説明
【技術分野】
【0001】
本発明は、輸送容器、例えば保冷ボックスを用いた物品の輸送で、輸送過程での温度管理に関するものであり、特に管理温度の逸脱を予測し、監視するための輸送温度監視装置及び輸送温度監視システムに関する。
続きを表示(約 2,300 文字)
【背景技術】
【0002】
厚生労働省は、医薬品の流通過程における品質と完全性を確保するために、GDP(Good Distribution Practice:医薬品の適正流通)ガイドラインを策定している。このガイドラインには、医薬品の保管と輸送時における温度管理が重要視されており、温度測定装置の使用が推奨され、温度の記録と監視が求められている(非特許文献1)。
【0003】
温度逸脱が発生した場合は、適切な対応が求められ、医薬品の温度逸脱の状況を確認し、逸脱した医薬品に対する適切な取り扱いを検討する必要がある。場合によっては、逸脱した医薬品の廃棄、再調達、再配達が必要になることもある。そのため、医薬品の温度管理においては、配送開始から医療施設へ到着するまでの配送期間だけでなく、医療施設内で薬剤が投与される直前までの期間も含めて、温度変化等の輸送品質情報を確認できる温度管理システムも求められている(特許文献1)。
【0004】
医薬品の輸送において、温度管理は極めて重要な課題である。恒温器(インキュベーター)を使用した輸送は、温度を一定に保つための効果的な手段であるが、長時間の輸送中において常に電源を確保することが難しく、またその装置は重くかさばるため、スペースとコストの制約が発生する。そのため、一般的には保冷ボックスが使用される。保冷ボックスでは、保冷剤などの蓄熱材や、断熱材を用いて保冷効果を得るが、この際に事前にシミュレーションを行い、保冷ボックス内の温度が所望の範囲内に保持される時間を評価することで、使用する保冷ボックスの妥当性を担保している(特許文献2)。
【先行技術文献】
【特許文献】
【0005】
特許第6842487号公報
特許第6465582号公報
【非特許文献】
【0006】
“医薬品の適正流通(GDP)ガイドライン”[online]株式会社チノー[令和6年2月16日検索]、インターネット[URL: https://www.chino.co.jp/support/technique/lifescience/gdpguidelines/]
【発明の概要】
【発明が解決しようとする課題】
【0007】
特許文献1の温度管理システムでは、薬剤が利用される直前までの品質を確認することができるシステムであるが、管理温度の逸脱を予測し、監視するためのシステムではない。そのため、温度逸脱を予防できるような温度管理システムが求められる。また、特許文献2では、事前にシミュレーションを行い、保冷ボックス内の温度が所望の範囲内に保持される時間を評価することができるが、想定外の外部の気象条件の大きな変動や、保冷ボックスの蓋の開閉など、さまざまな要因により、シミュレーションからの予測は信頼性に欠けることがある。このような状況下での保冷ボックス内部の温度管理は困難を伴うため、より確実な温度監視と管理のために新たな技術やシステムの開発が求められている。
【0008】
これらの課題を克服するためには、温度逸脱の危険が迫った場合にそれを対応可能な時間に把握し、温度逸脱を予防できるような輸送温度管理装置の開発が求められる。このような装置は、保冷ボックス内に複数の温度センサを配置し、リアルタイムで保冷ボックス内部の温度変化を監視することで、温度逸脱が発生する前にそれを検知し、適切な対策を講じることが可能となる。また、予測モデルを活用して、外部の気象条件や保冷ボックスの使用状況などの要因を考慮して、温度の変動を事前に予測し、適切な対策を打つことができるようになる。このような輸送温度管理装置の開発により、医薬品や他の温度に敏感な物品の輸送中における温度管理がより確実に行えるようになり、品質の保持と安全性の確保が強化される。
【0009】
本発明は、上記の課題に対処するために、輸送容器内部の温度が、設定した管理温度を逸脱する時刻を予測して、輸送中又は保管中に管理温度を逸脱する可能性がある時刻を事前に知らせることができる輸送温度監視装置及び輸送温度監視システムを提供することを目的とする。
【課題を解決するための手段】
【0010】
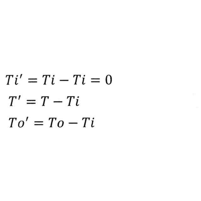
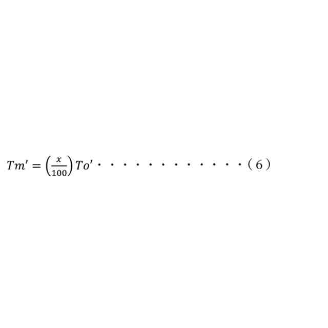
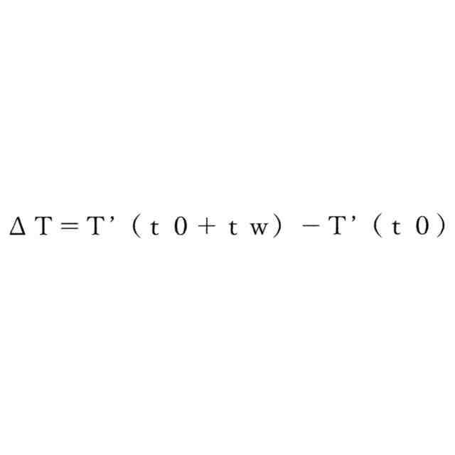
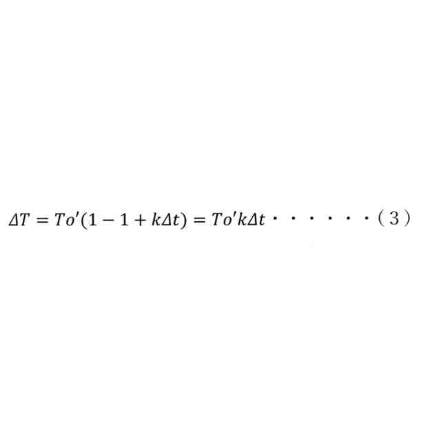
上記課題を解決するために、請求項1に記載の発明は、輸送容器に取り付け又は組み込み可能な輸送温度監視装置であって、少なくとも輸送容器内部の温度を測定する1つ以上の内部温度センサと、前記内部温度センサと接続される内部温度取得部と、前記輸送容器の外部温度を測定する外部温度センサと、前記外部温度センサと接続される外部温度取得部と、制御部と、記憶部と、通信部と、表示部と、を備え、前記通信部は、輸送物の情報と、前記輸送温度監視装置を識別する識別情報と、を含む物品管理情報と、前記内部温度及び前記外部温度の取得設定情報と、前記輸送容器内部の管理温度と、標準時刻及び通知時刻と、を含む設定情報と、を受信し、前記物品管理情報と、前記設定情報と、前記内部温度及び前記外部温度と、前記内部温度が前記管理温度を逸脱する時刻と、を送信し、前記制御部は、前記内部温度取得部で取得した前記内部温度と前記外部温度取得部で取得した前記外部温度から前記管理温度を逸脱する時刻を演算する演算処理部を備え、前記記憶部は、前記物品管理情報と、前記設定情報と、前記内部温度及び前記外部温度と、前記輸送容器内部の管理温度を逸脱する時刻と、を格納することを特徴とする。
【発明の効果】
(【0011】以降は省略されています)
この特許をJ-PlatPat(特許庁公式サイト)で参照する
関連特許
個人
詐欺保険
1か月前
個人
縁伊達ポイン
1か月前
個人
5掛けポイント
25日前
個人
RFタグシート
1か月前
個人
職業自動販売機
18日前
個人
ペルソナ認証方式
1か月前
個人
地球保全システム
2か月前
個人
QRコードの彩色
1か月前
個人
情報処理装置
28日前
個人
自動調理装置
1か月前
個人
農作物用途分配システム
1か月前
個人
残土処理システム
1か月前
個人
サービス情報提供システム
20日前
個人
知的財産出願支援システム
1か月前
個人
タッチパネル操作指代替具
1か月前
個人
インターネットの利用構造
1か月前
個人
携帯端末障害問合せシステム
1か月前
個人
スケジュール調整プログラム
1か月前
株式会社キーエンス
受発注システム
2か月前
株式会社キーエンス
受発注システム
2か月前
株式会社キーエンス
受発注システム
2か月前
個人
食品レシピ生成システム
2か月前
個人
エリアガイドナビAIシステム
1か月前
個人
音声・通知・再配達UX制御構造
1か月前
株式会社ケアコム
項目選択装置
28日前
個人
帳票自動生成型SaaSシステム
1か月前
株式会社ケアコム
項目選択装置
28日前
キヤノン株式会社
表示システム
2か月前
エッグス株式会社
情報処理装置
1か月前
トヨタ自動車株式会社
通知装置
1か月前
キヤノン株式会社
情報処理装置
12日前
株式会社ワコム
電子ペン
27日前
キヤノン株式会社
画像認識装置
12日前
キラル株式会社
顧客体験提供システム
今日
キヤノン株式会社
情報処理装置
26日前
株式会社ワコム
電子ペン
27日前
続きを見る
他の特許を見る