TOP
|
特許
|
意匠
|
商標
特許ウォッチ
Twitter
他の特許を見る
公開番号
2025144291
公報種別
公開特許公報(A)
公開日
2025-10-02
出願番号
2024044001
出願日
2024-03-19
発明の名称
染毛料組成物
出願人
株式会社マンダム
代理人
弁理士法人大阪フロント特許事務所
主分類
A61K
8/34 20060101AFI20250925BHJP(医学または獣医学;衛生学)
要約
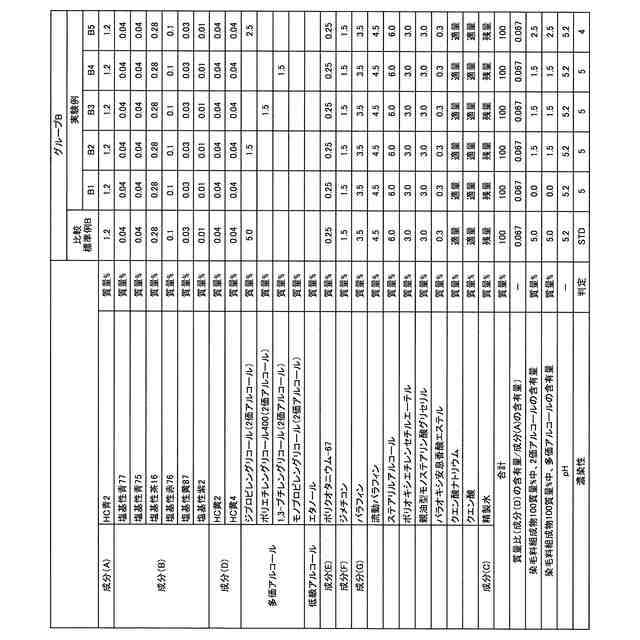
【課題】濃染性に優れる染毛料組成物を提供する。
【解決手段】本発明の染毛料組成物は、HC青2(成分A)と、塩基性染料(成分B)と、水(成分C)とを含み、前記成分Aの含有量が、0.4質量%以上、1.5質量%以下であり、2価アルコールを含まないか、又は、2価アルコールを3.0質量%以下で含む。
【選択図】なし
特許請求の範囲
【請求項1】
下記成分Aと、下記成分Bと、下記成分Cとを含み、
前記成分Aの含有量が、0.4質量%以上、1.5質量%以下であり、
2価アルコールを含まないか、又は、2価アルコールを3.0質量%以下で含む、染毛料組成物。
成分A:HC青2
成分B:塩基性染料
成分C:水
続きを表示(約 650 文字)
【請求項2】
多価アルコールを含まないか、又は、多価アルコールを5.0質量%以下で含む、請求項1に記載の染毛料組成物。
【請求項3】
エタノールを含まないか、又は、エタノールを5.0質量%以下で含む、請求項1又は2に記載の染毛料組成物。
【請求項4】
下記成分Dを含む、請求項1又は2に記載の染毛料組成物。
成分D:HC黄2及び/又はHC黄4
【請求項5】
前記成分Dの含有量が、0.01質量%以上、0.2質量%以下である、請求項4に記載の染毛料組成物。
【請求項6】
前記成分Dの含有量の、前記成分Aの含有量に対する質量比が、0.02以上、0.30以下である、請求項4に記載の染毛料組成物。
【請求項7】
カチオン界面活性剤を含まないか、又は、カチオン界面活性剤を0.5質量%以下で含む、請求項1又は2に記載の染毛料組成物。
【請求項8】
前記成分Bが、下記成分B1と、下記成分B2とを含む、請求項1又は2に記載の染毛料組成物。
成分B1:塩基性青77、塩基性青75、塩基性青99、塩基性青124、及びHC青16からなる群より選ばれる塩基性染料
成分B2:塩基性茶16、塩基性茶17、塩基性赤76、塩基性紫2、塩基性黄57、及び塩基性黄87からなる群より選ばれる塩基性染料
【請求項9】
pHが3.5以上、7.0以下である、請求項1又は2に記載の染毛料組成物。
発明の詳細な説明
【技術分野】
【0001】
本発明は、毛髪を染色するために用いられる染毛料組成物に関する。
続きを表示(約 960 文字)
【背景技術】
【0002】
毛髪を染色するために、塩基性染料及びノニオン性染料等の染料を含む染毛料組成物が用いられている(例えば、下記の特許文献1)。染毛料組成物は、洗髪と同時に毛髪を染色できるカラーシャンプー、及び洗髪後の毛髪に染毛料組成物を塗布して毛髪を染色できるカラーリンス(カラートリートメント又はカラーコンディショナーと称されることもある)等の形態として用いられることがある。
【先行技術文献】
【特許文献】
【0003】
特開2022-072302号公報
【発明の概要】
【発明が解決しようとする課題】
【0004】
従来の染毛料組成物には、防腐力を高めたり、染料の溶解性を高めたり、毛髪へのなじみ性を高めたり、洗い流し時の指通りを良好にしたりするために、2価アルコールが比較的多い量で配合されている。
【0005】
しかしながら、2価アルコールを含む従来の染毛料組成物では、毛髪を濃く染色できないことがある。特に、2価アルコールを含む従来の染毛料組成物では、該染毛料組成物がHC青2を含む場合に、該HC青2による染色効果が十分に発揮されず、毛髪を所望の濃さに染色できないことがある。
【0006】
本発明の目的は、濃染性に優れる染毛料組成物を提供することである。
【課題を解決するための手段】
【0007】
本発明は、下記成分(A)と、下記成分(B)と、下記成分(C)とを含み、前記成分(A)の含有量が、0.4質量%以上、1.5質量%以下であり、2価アルコールを含まないか、又は、2価アルコールを3.0質量%以下で含む、染毛料組成物を提供する。
【0008】
成分(A):HC青2
成分(B):塩基性染料
成分(C):水
【0009】
本発明の染毛料組成物は、多価アルコールを含まないか、又は、多価アルコールを5.0質量%以下で含むことが好ましい。
【0010】
本発明の染毛料組成物は、エタノールを含まないか、又は、エタノールを5.0質量%以下で含むことが好ましい。
(【0011】以降は省略されています)
この特許をJ-PlatPat(特許庁公式サイト)で参照する
関連特許
他の特許を見る