TOP
|
特許
|
意匠
|
商標
特許ウォッチ
Twitter
他の特許を見る
10個以上の画像は省略されています。
公開番号
2025140559
公報種別
公開特許公報(A)
公開日
2025-09-29
出願番号
2024040030
出願日
2024-03-14
発明の名称
流体式推力方向制御装置
出願人
個人
代理人
個人
,
個人
,
個人
主分類
F02K
9/80 20060101AFI20250919BHJP(燃焼機関;熱ガスまたは燃焼生成物を利用する機関設備)
要約
【課題】推力が偏向すべきときに偏向するという条件と、推力が偏向すべきでないときに偏向しないという条件とを両立させるだけでなく、少ない流量の二次噴流でも第一条件が好適に満たされるようにした推力方向制御装置を提供する。
【解決手段】第一絞り部12と、広がり部14と、第二絞り部15とを有するデュアルスロートノズル10を用いた推力方向制御装置において、第一絞り部12の下流側端部に形成される第一スロート13の断面積A
1
*
に対する第二絞り部15の下流側端部に形成される第二スロート16の断面積A
2
*
の比A
2
*
/A
1
*
を、1.2~1.8に設定する。
【選択図】図1
特許請求の範囲
【請求項1】
ノズル内をノズル入口からノズル出口に向かって流れる主流に対し、ノズルの中途部分に設けた二次噴流注入口から二次噴流を注入することによって、主流の流れに変化を起こさせ、ノズル出口から噴出する噴流の向きを変化させる流体式推力方向制御装置であって、
ノズルが、
その上流側端部がノズル入口となり、その下流側端部の断面積がその上流側端部の断面積よりも小さく形成され、その下流側端部が第一スロートとなる第一絞り部と、
第一絞り部の下流側に接続され、その下流側端部の断面積がその上流側端部の断面積よりも大きく形成された広がり部と、
広がり部の下流側に接続され、その下流側端部の断面積がその上流側端部の断面積よりも小さく形成され、その下流側端部が第二スロートとなる第二絞り部と
を有するデュアルスロートノズルとし、
第一スロートの断面積(「A
1
*
」とする。)に対する第二スロートの断面積(「A
2
*
」とする。)の比A
2
*
/A
1
*
を、1.2~1.8に設定したことで、ノズル内に二次噴流を注入せずに主流のみを流入させる非偏向制御時に、広がり部に衝撃波が発生し、それよりも上流側で流れが超音速となって、その流れがノズル内壁面から剥離しないようにすることで、意図しない推力偏向が起こらないようにするとともに、
衝撃波上流マッハ数をM
1
とし、比熱比をγとした場合において、
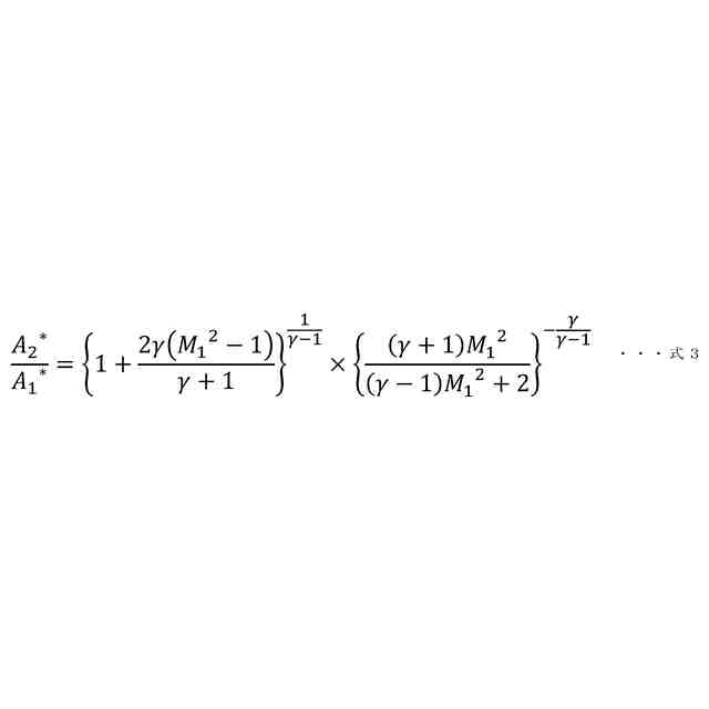
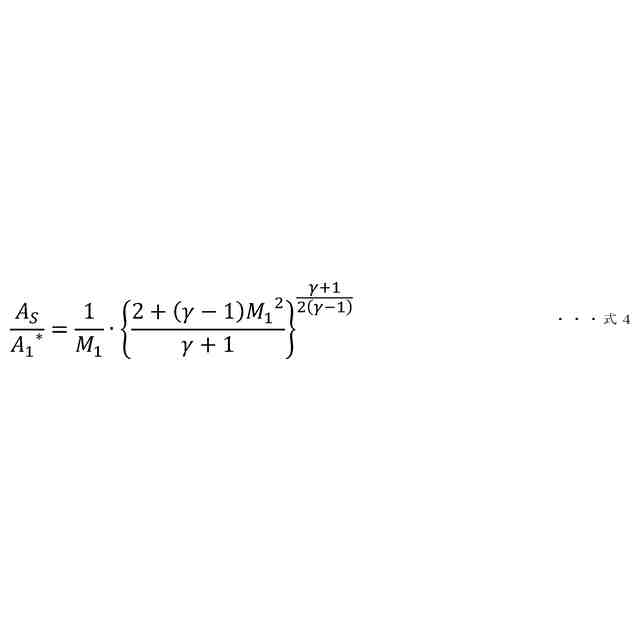
比A
2
*
/A
1
*
の値を下記式3の左辺に代入し、下記式3と下記式4とを連立して得られる断面積A
S
に対し、
二次噴流注入口が、広がり部における、断面積A
S
の0.85倍以下の断面積となり、かつ、下記式8から得られる断面積A
min
以上の断面積となる箇所に設けられた
ことを特徴とする流体式推力方向制御装置。
TIFF
2025140559000010.tif
28
150
TIFF
2025140559000011.tif
28
150
TIFF
2025140559000012.tif
16
150
続きを表示(約 130 文字)
【請求項2】
ノズルとして、その中心線を含む一の平面に平行な断面の形状が同一のものを用いた請求項1記載の流体式推力方向制御装置。
【請求項3】
ノズルとして、その中心線を軸とした回転体形状を為すものを用いた請求項1記載の流体式推力方向制御装置。
発明の詳細な説明
【技術分野】
【0001】
本発明は、ロケットエンジンやジェットエンジン等の推力の方向を制御するための流体式推力方向制御装置に関する。
続きを表示(約 3,800 文字)
【背景技術】
【0002】
航空機や各種の飛翔体の多くは、空力操舵により運動の制御を行うが、動圧が低い状況下では、空力操舵が有効に働かない場合がある。例えば、宇宙空間や高高度において運用される宇宙ロケットや宇宙船のように、機体の周りが真空若しくは低密度である場合、又は、宇宙ロケットや地上発射ミサイル等が発射された直後で機体速度が非常に遅い場合に、空気力を用いた運動制御(空力操舵)が著しく困難となる。このような条件下で機体を制御するために、推力方向制御(TVC: Thrust Vector Control)が用いられる。推力方向制御とは、ロケットエンジン或いはジェットエンジンから排出される噴流の向きを何らかの方法で変えることにより、推力の向きを制御する技術である。これにより、空力操舵が有効でない状況でも、機体の姿勢や進行方向の制御が可能となる。また、近年では、航空機における高機動性を確保するための手段として、空力操舵とTVCとが併用されるケースもある。
【0003】
推力方向制御装置の方式は、機械式と流体式の2つに大別できる。機械式の推力方向制御装置(機械式推力方向制御装置)は、噴流の流路の形状を機械的に変化させるものである。機械式推力方向制御装置としては、エンジンノズル内に傾斜板を設けるものや、ノズル形状を変化させるものや、エンジン自体の向きを変えるもの等がある。一方、流体式の推力方向制御装置(流体式推力方向制御装置)は、ノズル内を流れる流体自体の作用を用いることで、ノズル出口から噴出する噴流の向きを変化させるものである。流体式推力方向制御装置としては、ノズル内を流れる主流に対して二次噴流を注入することにより、主流の流れに変化を起こさせ、全体としての噴流の向きを偏向させるものが代表的である。流体式推力方向制御は、軽量化を図りやすく、応答性能を高くしやすいという点等で、機械式推力方向制御よりも優れている。
【0004】
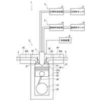
二次噴流を用いる流体式推力方向制御装置としては、デュアルスロートノズルを用いたものが提案されている(例えば、非特許文献1及び2を参照。)。ここで、「デュアルスロートノズル」とは、ロケットエンジン等のノズルとして通常用いられるラバールノズルの出口を絞って、第二スロートを設けた形状のノズルである。図1に、従来から提案されているデュアルスロートノズル10の概念図を示す。同図において、符号「10」はデュアルスロートノズルを、符号「10a」はノズルの中心線を、符号「11」はノズル入口を、符号「12」は第一絞り部を、符号「13」は第一スロートを、符号「14」は広がり部を、符号「15」は第二絞り部を、符号「16」は第二スロートを、符号「18」はノズル出口を、符号「19」は二次噴流注入口を、符号「F
IN1
」はエンジン燃焼室からノズル入口に流入する主流を、符号「F
IN2
」は二次噴流注入口から注入する二次噴流を、符号「F
OUT
」はノズル出口から噴出する噴流を、符号「F
a
」、「F
b
」、「F
c
」及び「F
d
」は代表的な流線を、符号「α
1
」は剥離領域(同図において網掛けハッチングで示した領域)をそれぞれ示している。
【0005】
図1に示すように、第一スロート13の近辺の下側のノズル壁に設けた二次噴流注入口19から二次噴流F
IN2
を注入すると、主流F
IN1
の流れは、その流線F
a
,F
b
,F
c
,F
d
(特に下側の流線F
d
)に示されるように、デュアルスロートノズル10における下側の内壁面から剥離し、二次噴流注入口19と当該下側の内壁面における第二スロート16との間に剥離領域α
1
が生じる。その結果、主流F
IN1
は、上側に大きく押し上げられるとともに、ノズル出口18の直前の第二絞り部15で逆方向に押し戻される。このため、ノズル出口18から噴出する噴流F
OUT
は、ノズル中心線10aに平行で右向きの方向よりも右下を向くように偏向し、その反作用として生じる推力が、ノズル中心線10aに平行で左向きの方向よりも左上を向くように偏向する。二次噴流を用いるデュアルスロートノズル10では、上記のメカニズム(以下、「流れの剥離メカニズム」と呼ぶことがある。)によって、推力方向の制御が行われる。
【先行技術文献】
【特許文献】
【0006】
特許第7197895号公報
【非特許文献】
【0007】
Flamm,J.D., Deere,K.A., Mason,M.L., Berrier,B.L., and Johnson,S.K., “Experimental Study of an Axisymmetric Dual Throat Fluidic Thrust Vectoring Nozzle for Supersonic Aircraft Application”, AIAA Paper, 2007-5084, 2007.
Shin,C.S., Kim,H.D., Setoguchi,T. and Matsuo,S., “A Computational Study of Thrust Vectoring Control Using Dual Throat Nozzle”, J.Thermal Science, 19,6(2010), pp.486-490.
Fearn,R.M., Mullin,T. and Cliffe,K.A., “Nonlinear Flow Phenomena in a Symmetric Sudden Expansion”, J.Fluid Mech., 211(1990), pp.595-608.
Durst,F., Pereira,J.C.F. and Tropea, C., “The Plane Symmetric Sudden-Expansion Flow at Low Reynolds Numbers”, J.Fluid Mech., 248(1993), pp.567-581.
中西助次, 桜井元康, 小田伸剛, “二次元対称急拡大流路内流れの非対称流に関する数値的研究”, 広島工業大学研究紀要, 30(1996),pp.37-43.
リープマン・ロシュコ著, 玉田こう(「こう」は「王」偏に「光」)訳, “気体力学”, 吉岡書店,1960.
【発明の概要】
【発明が解決しようとする課題】
【0008】
ところで、二次噴流を用いるデュアルスロートノズルを含め、推力方向制御装置の実用性を検討する際には、「推力が偏向すべきときに偏向する」という条件(以下、「第一条件」と呼ぶことがある。)と、「推力が偏向すべきでないときに偏向しない」という条件(以下、「第二条件」と呼ぶことがある。)とを確認する必要がある。ところが、第一条件の成立は、非特許文献1及び非特許文献2において既に確認されているものの、第二条件の成立は、未だ確認されていなかった。このため、本発明者は、二次噴流を用いるデュアルスロートノズルが第二条件を満たすか否かを確認するため、シミュレーションを行った。具体的には、図1に示したデュアルスロートノズル10において、二次噴流F
IN2
を注入せずに主流F
IN1
のみを流入させた場合のデュアルスロートノズル10内の流れ場と推力偏向角度を数値シミュレーションにより算出した。
【0009】
シミュレーションの解析手法としては、モンテカルロ直接シミュレーション(DSMC: Direct Simulation Monte Carlo)法を用いた。分子モデルは剛体球とし、その剛体球がデュアルスロートノズル10の内周壁で鏡面反射するものとした。推力(ベクトル量「f」とする。)は、微小時間(「Δt」とする。)の間にノズル出口18から噴出した分子の総運動量(ベクトル量「Δp」とする。)の値から、下記式1を用いて求めた。また、推力偏向角度(「δ」とする。)は、下記式2を用いて求めた。
【0010】
TIFF
2025140559000002.tif
30
150
TIFF
2025140559000003.tif
22
150
(【0011】以降は省略されています)
この特許をJ-PlatPat(特許庁公式サイト)で参照する
関連特許
朝日電装株式会社
スロットルグリップ装置
2日前
個人
流体式推力方向制御装置
2日前
トヨタ自動車株式会社
閾値の設定装置
2日前
本田技研工業株式会社
EGRバルブ制御装置
2日前
トヨタ自動車株式会社
エンジン制御装置
2日前
トヨタ自動車株式会社
内燃機関の燃料供給装置
2日前
トヨタ自動車株式会社
インジェクタの制御装置
今日
ヤンマーホールディングス株式会社
エンジン装置
今日
ヤンマーホールディングス株式会社
エンジン装置
今日
ヤンマーホールディングス株式会社
エンジン装置
今日
ヤンマーホールディングス株式会社
エンジン装置
今日
ヤンマーホールディングス株式会社
エンジン装置
今日
大阪瓦斯株式会社
発電設備、及び発電方法
今日
ヤンマーホールディングス株式会社
エンジン装置
今日
ヤンマーホールディングス株式会社
エンジン装置
今日
トヨタ自動車株式会社
内燃機関の燃料噴射制御装置
今日
株式会社豊田自動織機
燃料噴射弁
6日前
ヤンマーホールディングス株式会社
エンジンシステム
今日
本田技研工業株式会社
内燃機関
5日前
スズキ株式会社
内燃機関の制御装置
12日前
いすゞ自動車株式会社
制御システム
今日
カワサキモータース株式会社
エンジン
2日前
ヤンマーホールディングス株式会社
アンモニア混焼エンジン
今日
ヤンマーホールディングス株式会社
アンモニア混焼エンジン
今日
ヤンマーホールディングス株式会社
エンジン
2日前
いすゞ自動車株式会社
EGRシステム及び車両
2日前
三菱重工エンジン&ターボチャージャ株式会社
ガスエンジン
5日前
日本ピストンリング株式会社
シリンダ、シリンダ内壁面の凹部加工方法
12日前
ヤンマーホールディングス株式会社
燃料供給装置及びエンジンシステム
12日前
ヤンマーホールディングス株式会社
燃料供給装置及びエンジンシステム
今日
朝日電装株式会社
スロットル操作装置
12日前
朝日電装株式会社
スロットル操作装置
12日前
朝日電装株式会社
スロットル操作装置
12日前
三菱重工業株式会社
排気設備、及びこれを備えるガスタービン
今日
株式会社豊田中央研究所
燃料供給装置
2日前
本田技研工業株式会社
車両用制御装置、制御方法及び鞍乗型車両
今日
続きを見る
他の特許を見る