TOP
|
特許
|
意匠
|
商標
特許ウォッチ
Twitter
他の特許を見る
公開番号
2025135930
公報種別
公開特許公報(A)
公開日
2025-09-19
出願番号
2024034021
出願日
2024-03-06
発明の名称
香味揮発成分の消失抑制剤
出願人
築野グループ株式会社
代理人
個人
,
個人
,
個人
,
個人
,
個人
主分類
A23L
27/00 20160101AFI20250911BHJP(食品または食料品;他のクラスに包含されないそれらの処理)
要約
【課題】香味揮発成分を含有する飲食品における香味揮発成分の揮発性および不安定性を改善でき、簡便かつ容易に利用できる香味揮発成分の消失抑制剤を提供すること。
【解決手段】香味揮発成分を含有する飲食品における香味揮発成分の消失抑制剤であって、米糠から得られるステロールエステルを含有することを特徴とする消失抑制剤。
【選択図】なし
特許請求の範囲
【請求項1】
香味揮発成分を含有する飲食品における香味揮発成分の消失抑制剤であって、米糠から得られるステロールエステルを含有することを特徴とする消失抑制剤。
続きを表示(約 380 文字)
【請求項2】
前記香味揮発成分を含有する飲食品に添加することにより使用される、請求項1に記載の消失抑制剤。
【請求項3】
前記ステロールエステルが、植物ステロールと脂肪酸とのエステル、および/またはトリテルペンアルコールと脂肪酸とのエステルである、請求項1に記載の消失抑制剤。
【請求項4】
前記香味揮発成分を含有する飲食品が、半固形または液体の飲食品である、請求項1または2に記載の消失抑制剤。
【請求項5】
請求項1に記載の消失抑制剤を含むことを特徴とする、香味揮発成分の消失が抑制された飲食品。
【請求項6】
香味揮発成分の消失が抑制された飲食品の製造方法であって、
香味揮発成分を含有する飲食品と、請求項1に記載の消失抑制剤とを混和する工程を含むことを特徴とする方法。
発明の詳細な説明
【技術分野】
【0001】
本発明は、香味揮発成分の消失抑制剤に関するものである。
続きを表示(約 2,200 文字)
【背景技術】
【0002】
香味揮発成分を有する飲食品における香味揮発成分は、空気と接触することで揮発、酸化、劣化等が起こり、徐々に香りのフレッシュさ、強さ、持続性等が減退してしまう。香料分野において、油性物質を用いて香味揮発成分の揮発性および不安定性を解決する方法として、香料、糖質および軟化点が55℃~90℃である油性物質を混合し、これらの混合物を加熱して糖質を溶融または半溶融状態とした後、冷却、固化し、粉砕することを特徴とする香料含有粉末状組成物の製造方法が報告されている(特許文献1)。しかしながら、香料をカプセル化する技術によって粉末香料に加工する等の方法により、香料を被覆する必要があるなど、香料含有粉末状組成物の調製が煩雑であり、かつ粉末飲料、粉末調味料、粉末スープの素などの粉末食品への利用に使用範囲が限られる。そのため、より簡便かつ容易に飲食品の香味揮発成分の揮発性および不安定性を解決できる香味揮発成分の消失抑制剤の開発が望まれている。
【先行技術文献】
【特許文献】
【0003】
特開2010-143952号公報
【発明の概要】
【発明が解決しようとする課題】
【0004】
本発明は、香味揮発成分を含有する飲食品における香味揮発成分の揮発性および不安定性を改善でき、簡便かつ容易に利用できる香味揮発成分の消失抑制剤を提供することを課題とする。
【課題を解決するための手段】
【0005】
本発明は、上記の課題を解決するために、以下の各発明を包含する。
[1]香味揮発成分を含有する飲食品における香味揮発成分の消失抑制剤であって、米糠から得られるステロールエステルを含有することを特徴とする消失抑制剤。
[2]前記香味揮発成分を含有する飲食品に添加することにより使用される、上記[1]に記載の消失抑制剤。
[3]前記ステロールエステルが、植物ステロールと脂肪酸とのエステル、および/またはトリテルペンアルコールと脂肪酸とのエステルである、上記[1]に記載の消失抑制剤。
[4]前記香味揮発成分を含有する飲食品が、半固形または液体の飲食品である、上記[1]または[2]に記載の消失抑制剤。
[5]上記[1]に記載の消失抑制剤を含むことを特徴とする、香味揮発成分の消失が抑制された飲食品。
[6]香味揮発成分の消失が抑制された飲食品の製造方法であって、香味揮発成分を含有する飲食品と、上記[1]に記載の消失抑制剤とを混和する工程を含むことを特徴とする方法。
【発明の効果】
【0006】
本発明により、簡便かつ容易に利用できる香味揮発成分の消失抑制剤を提供することができる。また、本発明により簡便かつ容易に香味揮発成分の消失が抑制された飲食品およびその製造方法を提供することができる。
【図面の簡単な説明】
【0007】
図1は、山椒含有油にライステロールエステルを添加し、180℃、1時間処理後のリモネン残存率を示す図である。
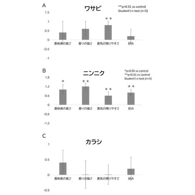
図2は、3種類のペースト状薬味それぞれに1%ライステロールエステルを添加し、25℃で3日間保存したときの、無添加の薬味と比較した香味官能試験結果を示す図である。
図3は、3種類のペースト状薬味において、ライステロールエステルの添加の有無による25℃で3日間保存したときの見た目を示す写真である。
【発明を実施するための形態】
【0008】
〔香味揮発成分の消失抑制剤〕
本発明は、香味揮発成分を含有する飲食品における香味揮発成分の消失抑制剤を提供する。本発明の消失抑制剤は、米糠から得られるステロールエステルを含有するものであればよい。本発明における米糠から得られるステロールエステルは、米糠から公知の方法により得られるステロールエステルであれば特に限定されず、植物ステロールと脂肪酸とのエステルを含有するものであってもよく、トリテルペンアルコールと脂肪酸とのエステルを含有するものであってもよく、これらの混合物を含有するものであってもよく、ステロールエステルの他に米糠から得られる別の成分をさらに含有する、米糠から得られるステロールエステル混合物を含有するものであってもよい。
【0009】
ステロールとは、シクロペンタノペルヒドロフェナントレン骨格(ステラン骨格)を有する化合物(ステロイド)のうち、3位に水酸基を有する化合物をいう。ステロールは、通常、遊離状、エステル型、配糖体等の形で、動植物界に幅広く分布している。本発明の消失抑制剤に含有される植物ステロールと脂肪酸とのエステルおよび/またはトリテルペンアルコールと脂肪酸とのエステルは、脂肪酸とのエステル型のステロールである。
【0010】
ステロールは、炭素数27~30であり、1個の二重結合を5/6位、7/8位、8/9位またはその他の位置に有している不飽和化合物であってもよく、水素化により得られる飽和化合物であってもよい。ステロールのうち植物に多く存在する植物ステロールとしては、β-シトステロール、スチグマステロール、カンペステロール等が挙げられる。トリテルペンアルコールは、炭素数30のステロールであり、米糠または米油中に多く含まれる成分である。
(【0011】以降は省略されています)
この特許をJ-PlatPat(特許庁公式サイト)で参照する
関連特許
築野グループ株式会社
香味揮発成分の消失抑制剤
2か月前
築野グループ株式会社
水素化不飽和二塩基酸組成物、水素化不飽和二塩基酸組成物の製造方法、ポリエステル組成物、及びポリアミド組成物
2日前
築野グループ株式会社
水素化不飽和二塩基酸組成物、水素化不飽和二塩基酸組成物の製造方法、ポリエステル組成物、及びポリアミド組成物
2日前
個人
健康促進霊芝茶
2か月前
不二製油株式会社
組成物
1か月前
ライソン株式会社
焙煎機
5か月前
不二製油株式会社
グミ類
2か月前
不二製油株式会社
油性食品
2か月前
個人
ヨーグルト等の発酵器
2か月前
不二製油株式会社
加工食品
3か月前
不二製油株式会社
油脂組成物
4か月前
株式会社東洋新薬
経口組成物
3か月前
個人
可食性素材からなる容器
25日前
株式会社東洋新薬
経口組成物
1か月前
不二製油株式会社
油脂組成物
2か月前
株式会社東洋新薬
経口組成物
5か月前
不二製油株式会社
光照射油脂
1か月前
池田食研株式会社
風味改善剤
5か月前
池田食研株式会社
微粉状食品
5か月前
株式会社東洋新薬
飲料
1か月前
不二製油株式会社
チーズ様食品
6か月前
東ソー株式会社
食品品質保持剤
4か月前
奥野製薬工業株式会社
処理方法
2か月前
アサヒ飲料株式会社
飲料
5か月前
株式会社エポック社
絞出具
2か月前
株式会社ソディック
食品搬送装置
4か月前
日本メナード化粧品株式会社
飲料
2か月前
東洋ライス株式会社
搗精米
3か月前
不二製油株式会社
被覆用油性食品
2か月前
株式会社ミルボン
組成物及び方法
2日前
個人
発酵あんこの製造方法
1か月前
不二製油株式会社
冷凍霜付き抑制剤
2か月前
不二製油株式会社
カカオ含有飲食物
1か月前
池田食研株式会社
油脂含有造粒顆粒
3か月前
個人
海ぶどうの加工処理方法
23日前
個人
廃棄食品の資源化法とその装置
4か月前
続きを見る
他の特許を見る